中企云萃森林官方售楼处电话·中企云萃森林售楼电话→2025年中企云萃森林楼盘百科→首页网站→楼盘测评→售楼中心电话→楼盘百科→24小时热线电话
扫描到手机,新闻随时看
扫一扫,用手机看文章
更加方便分享给朋友
中企云萃森林售楼处电话与购房全流程指南:中企云萃森林售楼处电话:400-8874-108【已认证】✅✅✨✨
在上海,您是否满心憧憬着拥有一处理想家园?别犹豫,中企云萃森林售楼处电话400-8874-108✔✅✅✨✨,将成为您购房旅程中最得力的助手,全程为您保驾护航。
1. 便捷看房预约
对 中企云萃森林感兴趣,拨打400-8874-108☎✅✅✨✨,告知看房意向与个人信息,工作人员确定看房时间并提前确认。看房时与销售交流,了解房屋质量、采光通风、布局,及项目位置、配套、户型、价格,助力决策。
2. 专业咨询服务
售楼处人员专业懂楼盘。无论购房政策,还是房屋交付、物业疑问,拨400-8874-108☎✅✅✨✨,他们依专业和您实际情况,耐心解答并给建议。
3. 签约协助支持
选定房源,拨售楼处电话谈价格、优惠。确定意向后,工作人员告知签认购书、交定金事宜,签正式合同问题也能电话咨询,保障签约顺利。
4. 后续跟进保障
贷款、付款、交房验收遇问题,拨打上海中企云萃森林售楼处电话400-8874-108✔✔✔,工作人员迅速响应,提供帮助指导,购房无忧。
中企云萃森林售楼处电话400-8874-108✔✔✔✅✅✨✨,贯穿购房各阶段。无论何时,拨此号码都能获助,实现购房梦。快拨打电话开启理想家园之旅!
现在,您只需轻轻拿起电话,拨通这串充满希望的号码,就能将理想家园的蓝图逐步变为现实。不要再犹豫,让中企云萃森林售楼处电话成为您开启幸福生活的起点,在这座城市中,找到专属于您的温馨港湾,轻松实现梦寐以求的购房梦想。
中企云萃森林售楼处电话:400-88741-08✔【已认证】✅✅✨✨
中企云萃森林营销中心电话:400-887-4108✔✔【官方认证】✅✅✨✨
上海中企云萃森林售楼处电话:400-887410-8 VIPLINE✔✔✔欢迎预约✅✅✨✨2025年2月起,三林滨江一个项目六开六捷,均价约11.8万/㎡。
而同样板块,相距不过1km的【中企云萃森林】,2023年拿证的均价仅约10.5万/㎡。
一方面,2年不到,板块新房均价直升1万+/㎡,这是三林滨江板块价值和潜力的体现。
另外一方面,【中企云萃森林】尾盘在售的少量房源,光从价格方面来看,性价比就已经极高了。
但除了价格优势外,还有两点:
第一,【中企云萃森林】西区是实景呈现,所见即所得。
并且,相比交付期2年多的其他项目,准现房的【中企云萃森林】将为业主省下大量的过渡时间、租房成本以及贷款利息。
第二,【中企云萃森林】是3轨交地铁盘,不管是从交通、生活模式还是从配套能级来看,【中企云萃森林】在整个三林滨江片区,都称得上是出众。
https://wxa.wxs.qq.com/tmpl/pb/base_tmpl.html
前滩南,三林滨江第一代国际住区——【中企·云萃森林】,经历数千日夜的打磨与考量,建筑外立面部分的施工已接近尾声,融合海派与都会风格,每一寸的施工都是中企云萃森林的真挚倾注,干挂铝板与石材组合出挺拔的线条、用心的材质呈现特别的韵味,现代海派的建筑与前滩相望,与日渐繁茂的三林滨江共同拔节生长,在一点一点的实景逐步兑现,历久弥新。


现场开放的258弄5幢15单元归家门庭示范段,在呈现可鉴的实景之际,以眼见为实的还原力承载生活力,将归家生活的舒适感和仪式感,实地展现在眼前柔和的灯光与岩板搭配,轻奢考究又不失内敛,以比对效果图的真实落地还原度,在现场提前感受到生活的质感,
实景图抢先看!


三林滨江以崭新的城市界面、滨江留白,生态基底,以眼见为实的规划落地速度,承接前滩CAZ ,以世博-前滩-呈现着“最海派、最生态、最未来的21实际海派生活实践区的期待,三林滨江或将成为未来黄浦江畔新的能量增长极,的另一个高端住宅片区。
【中企·云萃森林】,择三林滨江而生,世界级滨水功能复合带与徐汇滨江隔江而望,轻松抵达前滩,国际城市的繁华荟萃。
作为三林滨江板块内的首发住宅,【中企·云萃森林】正脚踏实地,以“眼见为实”的速度,用看得见的品质和用心,在以蓝图还原力的基础上,展现更好的生活。


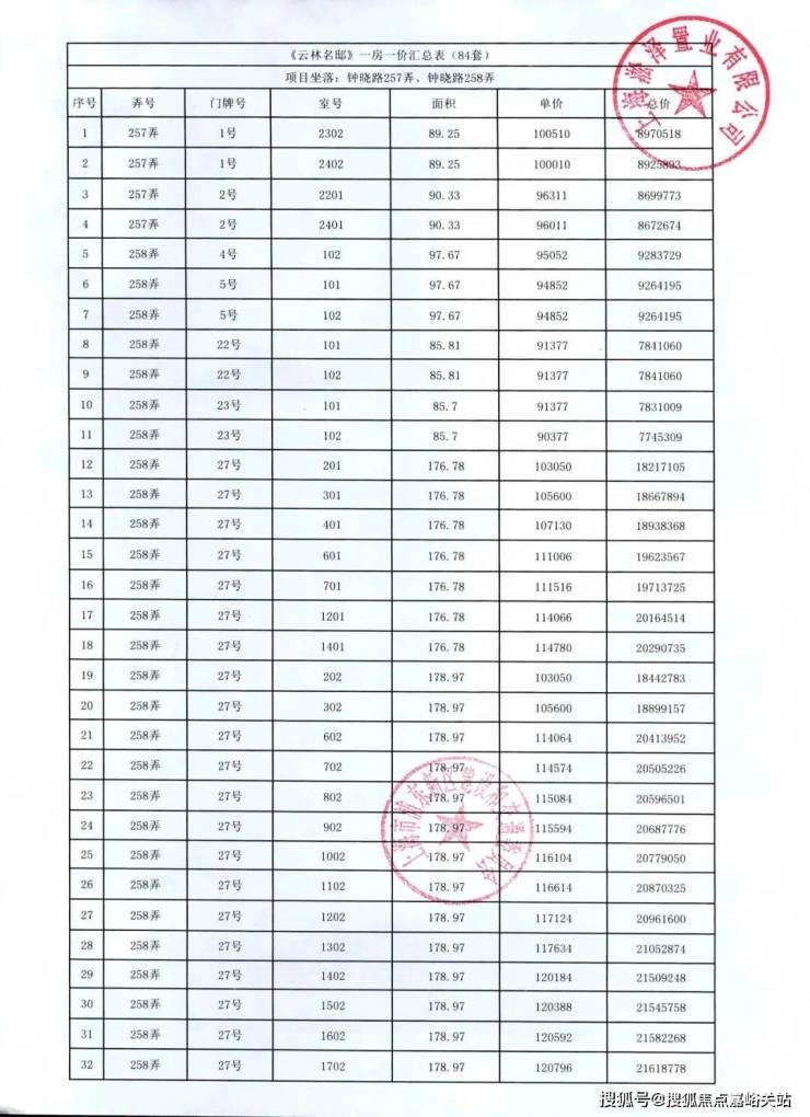
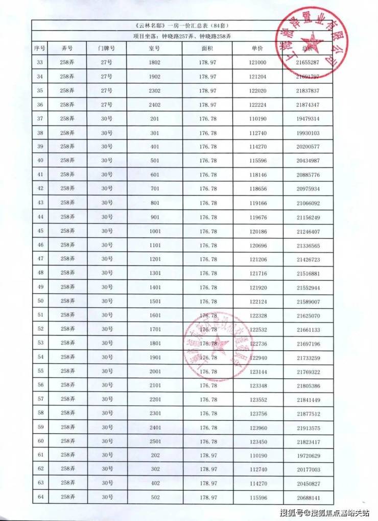
目前约85-90-98-175㎡2-4房在售
均价约10.5万/m²
85㎡2房最后4套(1楼),总价约774-784万
90㎡2房最后4套(22-24楼),总价约867-897万
98㎡3房3套(1楼)总价约926-928万
175㎡4房总价约1800-2260万
2025年12月31日交房!
建面约90㎡2房,两间卧室的尺度感都要高于寻常该面积段户型。主卧里面做了一个“灵动空间”,可做衣帽间、书房或者游戏房;卫生间干湿分离,有效提升了使用效率。
这样一个2房户型,既保证了舒适度,总价还控制在千万以内,给“预算刚需”的购房者一个很好的上车机会。


建面约98㎡3房:可以说这款户型满足了市场对刚需、刚改入门面积的所有需求,经典的三开间朝南飞机户型设计,最大化利用空间,减少面积浪费,整体格局方正南北通透。

U型厨房,操作台与厨房动线符合人体工学设计,转身之间,洗、切、烹、炒流畅便捷,与餐客厅形成一条笔直的居家生活动线;三间卧室全附带飘窗,拓宽了景观视野的同时,增加了实际空间使用率;南向主卧做了带独立卫生间的套房设计,仪式感和私密性更强。
在当下100㎡及以下面积段占绝大多数的情况下,建面约123㎡4房本就十分稀缺。而在产品设计上更加符合全龄段各种家庭结构的居住需求。

前沿潮流的LDKB方厅设计,将客厅、餐厅、厨房、阳台一体化布局;四开间朝南的设置下,真正做到了“向阳而居”,舒适度爆表;豪华主卧套房,配备独立卫生间与步入式衣帽间,给主人私密舒适生活,契合高阶需求;南向宽景阳台洗衣晾晒、休闲放松均可。


全部房源精装交付,中央空调、地暖和新风三大件全都有!
2021年10月,中华企业&世博土控联合体以121.96亿,拿下东区9个单元的其中4幅住宅用地开发权【即中企云萃森林】,总建筑面积约19.42万方。
这4副地块分别是三林楔形绿地东区(含部分配套开发用地)15号(05-11,住宅)、17号(05-14,住宅)、19号(06-07,商业)、20号(08-02,住宅)。

根据设计方案显示,两幅住宅地块(15号、17号)共计建造16栋8-25层住宅楼以及相关的配套实施。规划住宅1179户。


传承海派经典美学,传承经典,融合海派与都会风格,重构建筑美学,简单、秩序、几何之美,经典三段式建筑立面,线条精致。

项目外立面:石材基座+仿石铝板+局部仿石涂料。
采用超低能耗建筑技术体系,在节能、舒适等方面,都采用了较高标准,将带来更经济、更静谧、更舒适、更健康的人居体验。

景观方面开发商更是为业主精心打造了四轴九园私属空间:
1条开放式生态公共轴、1条社区礼遇生活轴、2条林荫生活轴。这四条主轴完美呼应了三林滨江外部优秀的生态环境,让业主有更好的居家体验。

另外,九大园林的配置,让社区的每一处都布满美景。如果说大多数的楼盘是在小区内做景观,那「中企·云萃森林」更像是在森兰中做艺术品。


交通方面:三轨环绕 滨江稀缺TOD
在上海,资源也有等级划分的。真正处于价值巅峰的核心资源,TOD无疑是重中之重!
值得一提的是,「中企云萃森林」还是一个三轨交地铁上盖的超级TOD枢纽!
项目周边除了已经通车的8号线之外,还有19号线(在建中)和26号线(规划中)。
效果图,仅供示意

地铁8号线:于三林滨江设有凌兆新村站,未来,业主可通过小区东侧的商业综合体直通地铁站。
地铁19号线:近期公布了招标计划,总投资约934亿,未来也将途径「中企云萃森林」所在的凌兆新村站,预计明年启动建设。
19号线规划线路图,仅供示意

当然,对于三林滨江来说,三轨交仅仅只是一个开始,因为这里还坐拥“南北高架+金色中环”这强大的交通基座。
在此之前,同样背靠“南北高架+金色中环”一飞冲天的板块有两个。
一个是静安大宁,如今二手成交高达16万/㎡;
另一个是浦东前滩,如今二手成交高达18万/㎡。
示意图,数据来源:链家

三条地铁线路,未来出门即轨交,1站前滩、4站徐汇滨江,新天地、陆家嘴、张江等区域也都在业主的生活圈内,再加上一横一纵的中环+南北高架。
真正实现转身即世界。
商业方面:「中企云萃森林」本身就是一个集商业、时尚休闲、文娱生活、生态人居为一体的大型TOD综合体,下楼即享繁华配套。
再加上三林滨江整体商业用地规模超29万平方米,商业总体量远超过晶耀前滩和前滩太古里。
据了解,华润旗下的万象汇已签约将入驻项目东侧TOD商业地块,为整个项目注入更多的活力与品牌效应。

宁波华润万象汇实景图
除此之外,项目北侧就是前滩。
尤其对于地铁上盖的「中企云萃森林」业主来说:太古里、晶耀前滩、太古汇(在建中),信德文化中心(在建中)香格里拉、四方城(在建中)、莱佛士国际医院等,都在业主的生活圈内。
前滩太古里实景图
另外,魔都最新的重磅网红打卡地,总面积超21.5万㎡的前滩31全新商业文化综合体也已经开业。
前滩31实景图
教育资源:在三林滨江,规划中有6块教育用地!更重要的是,这些教育用地基本上距离中企云萃森林都不远(* 新房不承诺学区,最终以教育部门公布为准)
离学校近有什么好处?
对于孩子而言,每天上学完全不用着急;对于父母而言也省去了奔波接送的时间和精力。
当然,就算对学校没有需求的家庭,买一套近学校的新盘也是一个不错的选择!

中房网讯 (亚晨文)1月19日,国家统计局公布的全国房地产市场基本情况显示,2025年全国房地产开发投资82788亿元,比上年下降17.2%;新建商品房销售面积88101万平方米,比上年下降8.7%;新建商品房销售额83937亿元,下降12.6%。
开发投资增速持续下行
具体来看,房地产开发投资增速方面,指标处于连续下行态势。2025年全国房地产开发投资82788亿元,比上年下降17.2%;其中,住宅投资63514亿元,下降16.3%。

上海易居房地产研究院副院长严跃进表示,一方面,要客观看到开发投资指标带来的压力,尤其是对固定资产的拖累。另一方面,也与市场深度调整有关,尤其是企业端数量和投资情况都有深度调整。总体上2026年还要持续发力,要持续促进交易市场活跃,真正增强房企再投资能力,并带动指标止跌回稳。
房屋新开工和竣工面积方面,2025年,房地产开发企业房屋新开工面积58770万平方米,下降20.4%。其中,住宅新开工面积42984万平方米,下降19.8%。房屋竣工面积60348万平方米,下降18.1%。其中,住宅竣工面积42830万平方米,下降20.2%。
这两项指标年底表现相对稳定。在严跃进看来,总体上与营商环境优化有关。目前一些拿地的房企,开工工作整体积极有序。同时部分好地段的好房源项目,依然有较多购房者认购,市场信心也增加,侧面也会使得房企加快开工。当然,开工指标跌幅绝对值还是比较大,2026年要进一步鼓励各类资金导入,支持开工指标向好发展。此外,各地要进一步做好“保交房”工作。尤其是近期各地对于融资协调机制有关的金融政策将落实展期制度,这也有助于稳定“白名单”制度中的融资工作,有助于更好确保2026年“保交房”等工作的开展。
从到位资金情况来看,指标略有恶化。2025年房地产开发企业到位资金93117亿元,比上年下降13.4%。其中,国内贷款14094亿元,下降7.3%;利用外资25亿元,下降20.8%;自筹资金33149亿元,下降12.2%;定金及预收款28089亿元,下降16.2%;个人按揭贷款12852亿元,下降17.8%。
严跃进认为,资金方面的压力还需关注。2026年金融环境将进一步改善,房企去库存工作也将得到优化。从这个角度看,各地确实要积极做好各类工作,确保房企资金到位情况改善,在这个过程中仍需防范化解相关金融风险。
商品房单月销售环涨四成
新房销售方面,指标跌幅进一步扩大。根据国家统计局数据,2025年新建商品房销售面积88101万平方米,比上年下降8.7%;其中住宅销售面积下降9.2%。新建商品房销售额83937亿元,下降12.6%;其中住宅销售额下降13.0%。

对此,严跃进建议总体从着力稳定房地产市场角度出发,各地要进一步挖掘市场潜力,持续促进交易市场活跃。对于2026年房屋交易市场,要保持几个重要的原则。一是,交易活跃是市场稳定的最大基础,各地在促销售方面要持续做好系列工作。二是,要把政策利好和预期引导等积极和去库存工作结合,促进交易指标积极转向和转好。
另外,从单月销售情况来看,2025年12月份的销售工作也呈现了较好的迹象。根据国家统计局数据测算,12月新建商品房销售面积为9399万平方米,环比上涨39.87%,同比下降16.58%;新建商品房销售额8807亿元,环比上涨44.07%,同比下降24.24%。值得注意的是,无论是销售面积还是销售额,均远高于10月和11月,为2025年内销售第四高。

商品房库存方面,攀升态势明显趋弱。截至2025年末,商品房待售面积76632万平方米,比上年末增长1.6%,比11月末回落1.0个百分点。其中,住宅待售面积40236万平方米,增长2.8%。
严跃进认为,该项指标表现非常积极,说明去库存方面具有较好的基础。一方面与近两年供给端调整有关,另一方面也随着房价调整,很多新房项目的认购性价比相对较高。2026年是去库存的关键年份,要结合收购库存商品房做保障房等工作系列推进有关工作。
房地产各项指标仍然存在改善空间
整体看,2025年房地产各项指标处于深度调整过程中,这也更加突出了2026年着力稳定房地产市场的重要性和迫切性,同时,也意味着房地产各指标仍然存在调整和改善的空间。
易居研究院建议,2026年各地要持续做好稳市场工作。第一,加力推进工作,要把去库存、优政策、稳预期等工作进行有机结合,真正发挥好“市场-政策-预期”之间的互动效应;第二,房地产总体形势积极向好,这与价格深度调整有关,同时也和各类购房需求将积极释放等因素有关。特别是一些重点城市,后续要进一步做好市场提振工作,并为全国市场提供更好的示范效应。
声明:本文由入驻焦点开放平台的作者撰写,除焦点官方账号外,观点仅代表作者本人,不代表焦点立场。
