建发联发青云上售楼处电话:400-8874-108✔【已认证】 建发联发青云上营销中心电话:400-8874-108✔✔【已认证】
上海建发联发青云上官方售楼处电话:400-8874-108 VIPLINE✔✔✔【已认证】
——建发联发青云上——
建发联发青云上售楼处电话:400-8874-108✔【最新预约】
建发联发青云上营销中心电话:400-8874-108✔✔【最新认证】
上海建发联发青云上官方售楼处电话:400-8874-108 VIPLINE✔✔✔【最新发布】
如有问题可来电咨询,线上售楼中心,预约销售专员,一对一为您服务!
想了解建发联发青云上更多信息?拨打售楼处营销中心热线:400-8874-108 (中介勿扰)【24小时热线】
三站金桥 双轨交
「建发联发·青云上」现已过会
总价450万起
建面约95/116㎡焕新三房
实景展示中心即将盛大开放
正在认购

联发集团:连续17年上榜中国房地产百强企业,2023年位列第28位,业务遍及厦门、上海、深圳等28座城市,为超48万业主提供品质人居和服务。
譬如厦门的联发悦鹭湾、深圳的联发悦尚居等,都成为了当地的住宅标杆,深受市场好评。
强强联手下的建发联发·青云上在社区空间和景观园林的打磨上,焕发出独一无二的“诗意东方”风格,通过“具古以化,去形留意”的方式,打造出兼顾传统东方神韵、审美和现代舒适、实用的品质住宅!外立面设计独特,香槟金色与灰色相结合,化用传统中式建筑屋檐,打造展翼翘檐,灵动飘逸。


为确保每栋楼具备良好的采光条件和生活舒适度,项目在规划中注重将建筑与景观融为一体,以一条中心景观轴线贯穿整个社区,整体以[豫园]为蓝本,将中式造园手法融入细节,构筑一轴八园十二境的空间布局。
倾力打造超大的中庭景观花园,并采用多样化的景观设计,实现移步换景的效果。这样的设计不仅增添了归家的诗意氛围,同时也提高了整体居住品质。

同时注重三进归家礼序,尊崇感由此而生。这样的设计理念与建筑风格相得益彰,为业主带来更加舒适与美观的居住环境。
一进为登门望府,让业主尊享门庭归家之礼。
创新三重檐大门,斗拱结构作为装饰,去繁化简,赋予其精雕细琢的华丽。气势恢宏的归家大门,搭配特色跌水水景、精选造型树呈现出中国传统府邸的空间礼序规制;入口松石相抱,傲然挺立,与景观组团营造归家氛围。
中间的台阶,三层递进,拾级而上,寓意“步步高升”,通过台阶错位的设计丰富归家的礼序,让整个建筑更富有尊贵感。

二进致敬宾客,沁芳水镜,品迎宾入园之礼。
整个空间植入叠山理水设计手法,以湖为中心,将亭桥水面汇集一景,构成“水中有景、景中含诗”江南美景。甄选花卉、草地、绿植、树木,参差搭配,从烟波桥登上沁芳水境,至高山流水处涤荡喧嚣,再现自然山水的靓丽风采。

三进致敬业主,游园拾趣之礼。大区营造上,在遵循尊崇礼序的同时,将诗意藏于心、拥自然入怀,创新人文景致。
尊享悠然之境、闲庭觅影等社交场,更有开阔的主题儿童乐园,让自然景观和生活场景得到平衡,演绎“小有所乐、青有所益、老有所趣”生活日常。

建发联发·青云上将一次性推出448套全部房源,共包含建面约95㎡经典3房和建面约116㎡轻奢3房。

建面约95㎡户型示意图:
建面约116㎡户型示意图:

交通配套:地铁对于新盘的价值毋庸置疑,而建发联发·青云上首先就是浦东难得的450万级正地铁盘,项目直线距离在建的崇明线凌空北路站约800米,预计2026年完成土建施工,争取尽早通车(来源:上海发布)。

未来业主从凌空北路站出发,2站即可到达申江路站,换乘12号线;3站即可到达金吉路站,换乘9号线;而12号线和9号线都是串联金桥、陆家嘴、徐家汇、北外滩等上海高能级商圈的黄金线,三轨交护航,正是当下浦东不可多得优质轨交神盘。

商业配套:项目南侧1公里以内可以到达恒越荣欣广场,再往南还有曹路宝龙广场和即将开业的TOD商业综合体。除此之外,通过北侧的崇明线凌空北路站,2站即可到达号称“365天永不落幕的明日智慧之城”金鼎天地。
教育资源:项目周边教育氛围非常浓厚,直线距离1公里左右,可以到达顾路幼儿园、海星幼儿园海鸣部、曹路打一小学、浦东复旦附中分校、浦东模范中学东校等优质基础教育资源。(新房不承诺学区,具体以实际交付为准) 医疗设施:项目直线2公里以内可以到达,目前在建的三级甲等医院海军军医大学第二附属医院(上海长征医院)浦东新院,预计2023年底竣工,2024 年投入运营,一期将建设成“与上海长征医院同质一体化运行的三级甲等综合性区域诊疗中心”。(资料来源:公众号曹路生活圈)



曹路板块位于浦东新区的东部,与金桥、外高桥、唐镇相邻。这三个板块均是产业聚集区域,金桥开发区聚焦于三大产业——未来车、新通信、智能造,以浦东1/50的土地贡献了浦东1/4、上海1/15的工业经济规模;外高桥保税区是中国第一个保税区;唐镇北部为上海重点打造的金融信息服务产业基地。
从地块规划的信息来看,中小套户型的要求占比为60%;500万内的刚需小三房为主。
交通便利:地块距在建崇明线一期凌空北路站约1公里以内(步行约950米左右),待崇明线一期2026年开通后,通过换乘12号线可达杨浦、虹口、静安、黄浦、徐汇等核心区域,换乘9号线可直达陆家嘴,交通能级将大大提升;
此外,地块周边绕城高速、外环高速环绕,距离外环高速入口直线距离约3.2公里,驾车约15分钟。
示意图
周边配套:
地块3公里范围内各类配套齐全,生活便利,商业配套有中惠棠里、恒越荣欣广场等;
实景图
医疗配套有曹路社区卫生服务中心等;未来,还将新增一座三甲医院——上海长征医院浦东分院,预计将于2024年建成,届时医疗能级也将大幅提升。
效果图
教育方面12-01地块东侧在建幼儿园,预计2023年7月份竣工,15-01地块南侧在建初中和小学,预计2024年6月份竣工备案完成移交教育局开办,预计招生时间2024年9月(具体以教育局为准);
板块市场:
板块内目前无在售项目,板块内近年来唯一出让的普通涉宅地是距离地块3.4公里的招商璀璨城市,房地联动价45000元/㎡。该宗地块为商住用地,住宅面积5.1万方,占比30.9%;商业面积11.3万方,占比69.1%。
项目于去年7月首开,房价达到54000元/㎡,首开认购率178%,入围分67.59,2个月后加推,开盘认购率154%,入围分62.76,两次均开盘即售罄,热度极高。
2产品
地块名称:浦东新区曹路基地15-01地块四至范围:东至金拓路,南至15-02地块,西至金开南路,北至民秋路建设用地面积:23556㎡(35.33亩)规划建筑面积:47112㎡用地性质:住宅用地起始价:12.15亿元成交价:13.365亿元成交楼面价:28369元/㎡溢价率:10%竞得人:建发&联发房地联动价:51500元/㎡
根据出让合同显示,项目需配建5%以上的保障性住房,全装修比例50%,要求中小套户型不得低于住宅总建筑面积的60%,容积率2.0,限高50米,住宅套数下限496套,套均面积约95㎡!



据浦东新区官网显示,上海第二轮土拍上半场中,建发+联发拿下的15-01地块;

项目户型图
主卧套房
独立卫浴,尊崇惬意起居生活
三开间朝南
让阳光与清风 交织心灵的温暖
餐客厅一体化
扩容活动空间,延伸家居享受
样板间实拍图





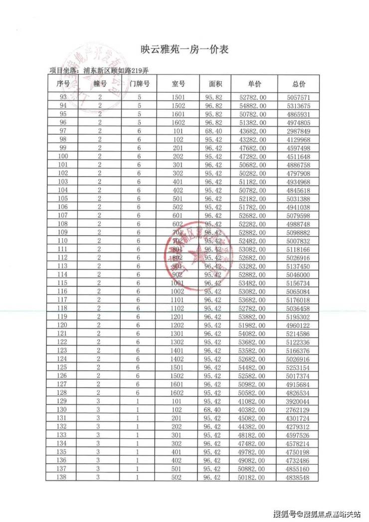
一房一价表













建发联发青云上售楼处电话:400-8874-108✔【已认证】
建发联发青云上营销中心电话:400-8874-108✔✔【已认证】
上海建发联发青云上官方售楼处电话:400-8874-108 VIPLINE✔✔✔【已认证】
如有问题可来电咨询,线上售楼中心,预约销售专员,一对一为您服务!
想了解建发联发青云上更多信息?拨打售楼处营销中心热线:400-8874-108 (中介勿扰)【24小时热线】
楼盘项目全面介绍,本电话为开发商提供线上预约售楼电话,楼盘项目全面介绍(包含楼盘简介,均价,房价,现房,期房,别墅,叠墅,大平层,价格,楼盘地址,户型图,交通规划,备案价,备案名,项目配套,样板间,开盘时间,认筹时间,楼盘详情,售楼处电话,最新消息,最新详情,周边配套,一房一价,最新进展等详情咨询)楼盘详情丨价格丨更多优惠丨机不可失丨欢迎致电丨诚邀品鉴!售楼处位置丨特价房丨工抵房丨剩余房源丨户型图丨最新消息丨免责声明:将文章内容综合来源于网络、只作分享,版权归原作者所有!!如有侵权,请联系我们,我们第一时间处理如有问题欢迎来电咨询,专业一对一热情服务,让您用专业眼光去买房.如果您想了解更多楼盘详情,欢迎提前预约拨打
2025年是“十四五” 规划收官之年,也是 “十五五” 规划谋划之年。在这承上启下的重要节点,各地对2025年房地产工作的部署也成为了业界关注的焦点。
今年各省级政府工作报告均对房地产着墨较多,相关内容被放在包括稳增长、促消费、惠民生、防风险等多个工作大项下。整体来看,在2025年的房地产工作中,各地将全力推进市场回稳向好、促进市场平稳健康发展,因此2025年的稳楼市政策仍值得期待。
此外,各地仍将继续推进城市更新,加强保障性住房建设,做好房地产领域风险防范,系统推进“好房子”建设等工作。
稳楼市是2025年多地首要目标
从各地政府工作报告内容来看,稳楼市是2025年多地房地产工作的首要目标。
如北京2025年政府工作报告指出,要更好满足城乡居民住房需求。不断优化房地产政策,持续推进房地产市场回稳向好。
广东表示,持续用力推动房地产市场止跌回稳。因城施策优化房地产政策,合理控制新增房地产用地供应,盘活存量用地和商办用房,推进处置存量商品房工作,健全租购并举的住房制度,充分释放刚性和改善性住房需求潜力,推动构建房地产发展新模式。
浙江提出,推动构建房地产发展新模式。全面落实国家降利率、降首付、降税费等政策,持续推动房地产市场止跌回稳。
值得一提的是,尽管稳楼市是各地2025年房地产工作的主基调,但是各地对稳楼市这一政策导向的表述略有差异。如北京、海南在政府工作报告中的表述是,促进房地产市场“回稳向好”;辽宁的政府工作报告表述的是“企稳回升”,西藏则为推动房地产市场“止跌回升”;在广东、重庆、广西、浙江、福建、内蒙古、山西、云南、江西、甘肃、宁夏、青海等多地政府工作报告中,提到的均是“止跌回稳”。
此外,上海在政府工作报告中提到,要加快构建房地产发展新模式,促进房地产市场平稳健康发展。
整体看,不同的提法和各个省份房地产所处的行情有关。尽管部分省份的表述存在差异,但稳楼市的总体精神高度一致。
深化城市更新行动
2025年,首次国务院常务会议对城市更新工作做出全面部署,强调“城市更新关系城市面貌和居住品质的提升,是扩大内需的重要抓手”,城市更新被赋予了更高的定位。
这也为各地2025年的城市更新工作进一步指明了方向。多地两会明确,2025年将深化城市更新行动。
北京表示,深化城市更新行动,完善土地混合开发利用和产业用地到期续期政策,加强闲置土地盘活利用,健全核心区平房成片区、整院落退租机制,统筹推进居住、产业、市政基础设施、公共服务设施、区域综合等五类更新改造。
上海提出,深入探索可持续的城市更新模式,完善成本管控机制,优化老旧建筑更新标准。加快推进“两旧一村”改造,全面完成中心城区零星二级旧里以下房屋改造,完成31万平方米小梁薄板房屋等不成套旧住房改造,启动25个城中村改造项目。实施商务楼宇更新提升行动,推进市政基础设施更新改造,推动桃浦、北外滩、杨浦滨江等区域转型发展,加快外滩“第二立面”、衡复风貌区等区域整体更新。
广西方面,深入实施城市更新。开展完整社区试点,打造友好社区。统筹推进城镇老旧小区、街区(厂区)更新改造。加强社区无障碍环境建设,持续推进既有住宅加装电梯。推进新型城市基础设施建设,更新改造城市燃气、水电、通信等老旧管线,大力建设城乡公共充电基础设施。
河北表示,深化城市更新,加强老旧管网改造,打造宜居、韧性、智慧城市。改造城镇老旧小区500个以上,建成交付棚改安置房10万套以上。
天津强调,实施更高质量城市更新,推进中心城区主题园区特色发展,增强地铁沿线、重点商圈辐射带动功能,提升业态品质和产业能级。加快实施设计之都核心区柳林街区等城市更新项目,推进30个城中村改造项目,启动180个城镇老旧小区改造。创新政策工具,探索将低效园区和商圈纳入更新范围,出台规划、土地、产权、债权、金融等针对性措施,破解盘活进程中的共性制约,以市场化合作引入更多社会资本参与各类存量资源盘活。
河南明确,开展城市更新和安全韧性提升行动,加强新型城市基础设施建设,实施城市更新项目3910个,改造城中村416个、老旧小区1459个,统筹改造一批老旧街区、厂区。加强无障碍环境、适老化设施建设,建成一批完整社区。
推进“好房子”建设
随着居民对住房品质要求的不断提升,推动“好房子”建设也成为2025年楼市重要政策方向。今年多地在政府工作报告中,都对“好房子”的建设进行部署。
北京和天津均提出,建设适应群众高品质生活的“好房子”。
广东明确,发展绿色建筑,推广智能建造、模块化建筑、装配式建筑等,引导企业提高住房建设标准、优化物业服务,建设更多好房子、好小区、好社区、好城区。
青海也明确,努力建设适应人民群众高品质生活的好房子、好小区、好社区、好城区。
浙江表示,稳妥推进现房销售试点和“好房子”建设试点。与此同时,重庆、四川、福建、云南、山西等地均表示要推进“好房子”建设工作。
此外,吉林更是定下了具体目标,明确今年大力推动10个以上“好房子”示范项目建设。
持续推进保障性住房供应
2025年,保障性住房筹建工作的持续推进仍是各地的重要工作内容,部分甚至明确了相关定量目标。
如上海表示,坚持租购并举,建设筹措7万套(间)保障性租赁住房,实现“十四五”末总量达到60万套(间)。
北京明确,完善“保障+市场”住房供应体系,优先向轨道交通站点周边和就业密集地区供应住宅用地,建设筹集保障性租赁住房5万套、竣工各类保障房8万套。
海南称,2025年筹集保障性租赁住房6000套(间),发放住房租赁补贴1.6万户。
河南指出,用好地方政府专项债支持收购存量商品房等政策,新增保障性住房5.7万套。
此外,广东指出,加快“三大工程”建设,增加保障性住房供应,推进“平急两用”公共基础设施建设,加力实施城中村和危旧房改造。
浙江强调,加快建立多主体供给、多渠道保障、租购并举的住房制度。
宁夏明确,健全住房保障体系,全面实施“四好”建设计划。
防范化解风险
从各省级政府工作报告来看,今年多地仍将继续做好房地产风险防范化解工作。而对于防范化解风险的工作部署,主要是从满足房企合理融资需求、保交房等方面入手。
如广东表示,积极稳妥防范化解房地产企业风险,用好城市房地产融资协调机制,推动“白名单”项目扩围增效,坚决打好保交房攻坚战。
黑龙江表示,持续用好房地产融资协调机制,健全完善新建商品房预售资金监管制度,有效防范新增风险。做好“保交房”工作,推进符合登记条件已交付房屋的不动产登记。
浙江明确,提高金融监管效能,全力防范企业债务和中小金融机构风险,严厉打击非法金融活动,有效化解房地产风险,全力完成保交楼、保交房任务。
山西提到,切实防范化解风险隐患。“一企一策”满足房地产企业合理融资需求,全面完成保交房任务。
此外,湖北表示,探索建立多层次风险防控机制,稳妥化解房地产、地方债务、中小金融机构等领域风险。