本文包含佳运名邸大部分资料,带你全方位了解该项目
佳运名邸售楼处电话:400-9975-759【已认证】
佳运名邸营销中心电话:400-9975-759【已认证】
招商云澜湾看房预约电话:400-9975-759【预约热线】
招商云澜湾开发商电话☎:400-9975-759✔✔✔【预约☎】
「佳运名邸」正在认购中 线上预约享团购优惠
佳运名邸楼盘欢迎您
佳运名邸营销中心热✅✅ 400-9975-759✅✅
本电话为开发商提供线上售楼电话
佳运名邸小区环境|佳运名邸户型-房源|佳运名邸价格|佳运名邸售楼处地址|佳运名邸项目地址|佳运名邸楼盘详情|佳运名邸周边配套|佳运名邸交房时间
周边配套:1.交通,500米内地铁站和多个公交站2.商业,300米广场街道齐全3.教育,500米内多所中小幼学校4.医疗,毗邻二甲医院、社区医院,街道卫生服务中心,可满足居民日常医疗需求
项目亮点:精装交付(中央空调+地暖)、十四五政策规划地、配套成熟,出行方便、双水系环绕,多重绿化景观、三大智能家电,马桶洗碗机 全屋壁布
绿化:35%/1.6
车位比:1:1.3
得房率:75%-80%
水电暖:民水民电自采暖
产权年限:70年
有无燃气:是
「佳运名邸」
北上海稀缺低密纯洋房
建面约90-129㎡精装3-4房
均价39837元/㎡总价约298万起
首推315套房源 正在认购
售楼处线上火热预约
佳运名邸官方售楼处预约电话:400-9975-759


佳运名邸官方售楼处预约电话:400-9975-759
,时长
02:31
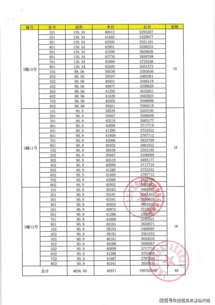
项目一房一价表










佳运名邸售楼处电话:400-9975-759

近期,国内银行业掀起一轮不动产处置浪潮。阿里资产平台数据显示,11月1日至11日期间标注“银行直供”的房产数量较去年同期增长24.7%,较上月猛增77.8%。包括建设银行、农业银行、华夏银行等多家银行,以及众多区域性农商行纷纷通过电商平台直接挂牌销售抵押房产。
此次拍卖资产类型涵盖住宅、商铺、写字楼等多元业态,起拍价从最低2.4万元到最高4000余万元形成明显梯度。其中华夏银行沈阳分行挂牌的住宅起始价仅22万元,广东云浮农商行更出现8.02万元起拍的住宅房源,显现出较强的价格吸引力。
某股份制银行法保部负责人透露,四季度集中处置资产旨在“年底封账前尽可能多收回款项”。而业内专家指出,这种从传统To B模式向To B与To C并重的转变,反映了银行对资产处置效率的迫切需求。
1. 银行主动求变
我们确凿在目睹一个历史性的转变,中国的银行,那些我们印象中只管存钱贷款的金融巨擘,正在集体“下场”卖房。
传统认知里,银行的核心任务是资金融通,是那个连接储户与借款人的“超级中介”。但今天,我们必须刷新这个认知了。
当大量的贷款人违约,抵押的房产通过司法程序被银行收回,这些原本记在账面上的“抵押物”,就变成了银行实际持有的“不动产”。不知不觉间,中国的银行体系已经成为了全国最大的“非专业房地产持有机构”。
一个本应轻装上阵、高效运转的资金管道,如今却被动地背负了成千上万套分布在全国各地的住宅、商铺和写字楼,这副重担,全部压在银行的资产负债表之上,迫使它们做出改变。
这些被动揽入怀中的房产,对银行而言,是一种“甜蜜的负担”,甚至可以说是一种“冻结的流动性”。
银行的核心业务是资金的流动和融通,它需要的是可以随时放贷、产生利息的现金,而不是一堆需要打理、难以变现的钢筋水泥。
尤其是当下面临净息差持续收窄的盈利压力,持有这些无法生息的不动产,更是雪上加霜。
因此,我们看到银行选择在“双十一”这样的时间点,大规模、主动地在阿里等公开平台上拍卖房产。这一行为的战略意图是:必须将这份“冻结的流动性”解冻,将沉重的“账面资产”转化为实实在在的、可以重新投放出去的“弹药”。
甚至,哪怕不赚钱,为了求生,为了在严峻的市场环境下保持自身的流动性和稳健性,也要这样去做。
这里有个特别大的变化。
在过去,银行习惯于将成批的不良资产“打包”打折,转让给专业的资产管理公司,由后者去慢慢处理。在这个过程中,银行放弃了资产的最终定价权和处置收益,只为快速剥离包袱。
现在呢?银行选择直面消费者,在平台上公开挂牌销售。
也就是说,银行正在亲手收回资产的“最终定价权”。
广东云浮农商行挂出8万元一套的住宅,华夏银行标价22万元出售沈阳的房产,这些看似“白菜价”的起拍价,其实是很务实的,事实上也是最正常的市场价,而不是被炒起来的价格。
我们甚至可以称之为“破净”定价——其目的不是为了弥补最初的贷款损失,而是为了用足够诱人的价格,在最短的时间内锁定买家、完成交易。哪怕是主动承担一部分账面损失,来换取风险的快速出清和现金流的迅速回笼。
这步棋,下得果断,也下得无奈。
2. 区域性银行成主力
不过,在平台上,我们看到的卖家名单,会发现冲锋在前的,大多是像贵州镇远农商行、通化农商行、甘肃正宁县农信联社这样的区域性中小银行,甚至是遍布城乡的农商行、农信社。
为什么是它们?
问题的核心,根植于一个可怕的“恶性循环”。
多年来,地方性银行的信贷业务与当地经济,尤其是与房地产和土地价值深度捆绑。大量的贷款,都是以企业或个人的房产、土地作为核心抵押物。
当房地产市场进入调整期,尤其是三四线城市和县域地区房价承压时,这些作为“压舱石”的抵押物,其市场价值正在悄然缩水。
这对银行意味着它们手中最根本的信用保障正在变薄、变脆。
一旦抵押品价值被确认下跌,银行就必须遵循严格的会计准则,从本已紧张的利润中计提更多的“拨备”,也就是风险准备金。这笔钱一旦被划拨出去,就如同被冻结了一般,不能再用于发放新的贷款。
结果就是,银行一边看着赖以生息的资产质量下滑,一边却被锁死了继续输血实体经济、创造新利润的能力。信贷投放能力被压缩,银行的生机也随之被扼住。
这正是我们看到云浮、镇远等地中小银行密集处置资产的底层逻辑——它们比谁都迫切地需要打破这个死亡螺旋,必须赶在抵押品价值进一步衰减前,将其变现,进行一次彻底的价值重估和风险出清。
它们是在与时间赛跑。
另一方面,监管层面的变化也十分迫切。
相信类似“年底封账前回款”的话不是唯一,还有更多我们并不知道的“内部谈话”,或者正在成为重压之一。
自2023年7月1日起正式实施的《商业银行金融资产风险分类办法》,收紧了不良资产的认定标准,对银行的资产质量提出了更严格、更审慎的要求。
年报窗口,就像一次严格的年度大考,所有银行都必须向市场和监管机构亮出自己的资产负债表。
在这个节骨眼上,那些滞留在表上的不良和关注类资产,特别是这些难以流动的非核心不动产,就成了拉低考分的“负资产”。
为了在年报中交出一份更健康、更合规的成绩单,证明自身的风险抵御能力,中小银行不得不抓住四季度的尾巴,加速甩卖。
既是为了财务上的“美化”,也是一次应对监管升级的强制性合规动作。
不加速处置,就可能面临监管评级下调、业务扩张受限等更严峻的后果。
所以,中小银行的这场“卖房运动”,是内忧与外患双重挤压下的必然选择。
内部,是抵押品贬值引发的资本消耗与信贷萎缩的恶性循环;外部,是监管新规带来的时间红线与合规压力。
它们集体涌向拍卖平台,主动出击,绝地求生。
3. 房地产流动分层加剧
当前银行直接挂牌售房,看似是普通的资产处置,其真正威力在于,它正在我们熟悉的传统二手房市场之外,硬生生开辟出第二条价格发现通道,并以前所未有的力量,加剧整个市场的“流动性分层”。
这一过程的核心,是阿里、京东这些线上拍卖平台所扮演的革命性角色。
它们将银行手中分散在天南地北、各式各样的房产——从8万元的住宅到4000万元的厂房——整合起来,变成了一个个标准化的线上交易标的。
只是销售渠道的转变吗?还是在金融层面有更深的影响和变化?我认为是后者。
当海量、非标的银行资产被这样集中、分类、标价展示时,这个平台实质上已经构成了一个覆盖全国、资产类型多元的“类REITs”基础资产池的雏形。它用一种近乎残酷的公开竞价方式,为这些原本难以定价的资产找到了基于市场真实需求的、清晰的价格刻度。
这种“碎片化处置”模式,正是未来可能催生更大规模金融创新的试验场,它预示着不良资产处置正从一门“艺术”转向一门可量化、可流通的“科学”。
而这一切,最终都会像一股强大的寒流,冲入传统二手房市场。
沈阳、云浮等地的例子,便是如此。
它们是由中国最严谨、最规避风险的金融机构——银行——亲手挂出的。这个行为本身,就是对其所在区域房价体系进行的一次公开的、具有公信力的“压力测试”。当持有成本最低、信息最权威的“国家队”卖家开始以显著低于市场心理价位的水平挂牌,它就为整个区域的房产价值设定了一个无法被忽视的“价格锚”。
这个锚点,会像磁铁一样,强力牵引周边个人房东的报价预期,迫使他们直面现实。其结果是,一种梯次向下的价值重估传导链将被启动,加速那些缺乏基本面支撑的地区的房价,向其真实居住价值和现金流价值回归。
有人说,这是加速市场崩溃的诱因,但我却觉得恰好相反,是市场在纠偏,在挤出泡沫,过程却必然伴随着阵痛。
基于此,我们可以预见几个变化趋势:
银行资产处置将呈现“投行化”趋势——未来可能出现银行系不动产管理子公司,专业负责存量房产的运营、改造和证券化,形成新的利润中心。
县域经济风险显性化——农商行密集处置资产的地区,需警惕其对当地信用体系的冲击,这可能引发对区域性金融稳定的政策干预。
个人投资者机会窗口——银行直售房产的折价空间,正在创造特殊的套利机会,但需警惕资产背后的隐性债务和法律纠纷等“陷阱资产”。
所以,这场银行售房潮,本质是中国金融体系对房地产依赖度的强制性降低。它既暴露了存量风险化解的紧迫性,也展现了金融机构主动管理风险的进化能力。
对于市场参与者而言,更需要关注的是银行资产组合中还有多少“沉睡的不动产”即将苏醒,以及这种大规模资产转移对整体物价体系的深远影响