保利天奕售楼处电话:4 00-8874-108✔【已认证】⭐⭐⭐⭐⭐ 保利天奕营销中心电话:400-88 74-108✔✔【已认证】⭐⭐⭐⭐⭐
上海保利天奕官方售楼处电话:400-8874-10 8 VIPLINE✔✔✔【已认证】⭐⭐⭐⭐⭐
——保利天奕——
保利天奕售楼处电话:400-88 74-108✔【最新预约】⭐⭐⭐⭐⭐
保利天奕营销中心电话:400-8874-10 8✔✔【最新认证】⭐⭐⭐⭐⭐
上海保利天奕官方售楼处电话:400-8874-1 08 VIPLINE✔✔✔【最新发布】⭐⭐⭐⭐⭐
如有问题可来电咨询,线上售楼中心,预约销售专员,一对一为您服务!
想了解保利天奕更多信息?拨打售楼处营销中心热线:400-8874-108 (中介勿扰)【24小时热线】
在上海买房的过程中?
谁没在 “地段够不够核心”、“配置够不够顶”、“居住感够不够奢” 里反复纠结过?
其实答案早有默契——上海购房者选房,向来只认 “最好”。
尤其到了800-1200万这个改善关键档, “既要地段潜力、又要顶配品质、还要长期舒适感” 根本不是贪心。
这一次,浦东唐镇C位鼎配奢宅 【保利天奕】 稳稳接住这份期待!




【保利天奕】凭六大优势直接拉满居住幸福感,让800-1250万级购房者不再纠结!

不得不说,【保利天奕】自首开以来便持续赢得购房者青睐,以“三开三捷”的亮眼成绩印证市场高度认可
首开即创下超197%认购率、 2小时极速告罄的完美首秀,
二批次乘势 1小时内再度售罄 并登顶7月上海新房销售套 数TOP1、销售面积TOP2、总销售额TOP3,
三批次则携唐镇久候8年的鼎序楼尊再开再热,全程以硬核销售表现,为区域改善人居划定跨越式答案。

【保利天奕】的现象级热销,不仅提振了上海浦东楼市信心,更是提振了上海楼市的信心。也让购房者认识到只有高价值性、强稀缺性、高流通性的产品,才能穿越市场周期!
近期,项目又迎重磅利好,确认 香港大学计算与数据科学学院 落址张江集电港, 直线距【保利天奕】仅约1.9公里。
该学院将致力于建设世界科研平台和高水平人才培养基地,将为唐镇带来世界学府资源,推动产城融合发展升级,区域价值再攀升。

【保利天奕】清盘倒计时!
过会均价82929元/m²,总价756万起
建面约105-135m²3-4房
10月25日,项目收官批次盛大开盘,去化95%,少量房源在售,手慢不在!

首先,【保利天奕】此次收官房源占据社区 “C位”的西3#、西4#双楼王。其稀缺价值从五大核心维度全面凸显:
无界视野体验: 南向无任何建筑遮挡,远眺城市界面,通透开阔间全无压抑感。
无敌采光享受: 凭南向无遮挡先天优势,阳光全天畅行入户,清晨至傍晚满室明亮,居住舒适度拉满。
推窗揽双景惬意: 窗外即是社区精致园林与外部约 1.7 万方休闲绿地,绿意与鲜氧入户,目之所及皆治愈。

近地铁通勤便利: 作为唐镇近2号线新盘,楼座距地铁口极近,日常通勤无 需绕行,高效省心。
家门口商业配套: 紧邻阳光天地商圈,购物、聚餐下楼即达,轻松坐拥便利生活圈。


户型图赏鉴
约104-106m²3房2厅2卫


前沿中横厅设计,0走廊、0浪费 的将碎片空间膨胀为家庭核心场景,在LDKB的基础上更加注重空间利用,小家也能拥有大空间尺度!

创新S墙分户设计, 让收纳系统从平面延展为立体暗线,通过玄关柜、冰箱柜、零食拉篮的巧思,用立体空间创造更海量收纳!

东1#边套: 全屋飘窗+约270°的转角飘窗, 实际空间感十分优秀!

西1#边套:南面就是休闲绿地无遮挡(全年日照6H以上),拥有堪比楼王的绝佳位置;距离高科东路超过50米,大大减少马路吵杂;尤其主卧可以全景俯瞰公园,拥有整个小区独一份的景观位!还自带架空层!
建面约118/125/135m²千万级四房锦鲤户型
首先建面约118m²户型, 在唐镇900万四房市场近乎是唯一选择!不仅是高性价比上车四房,更有 大面积飘窗附赠 ,拉高得房率!

建面约125m² ,约1000万起即可上车更舒适的边套四房!

建面约135m²户型, 在1100万级四房中,不仅拥有LDKB超宽客餐厅还拥有极致改善尺度!

对于纯改善需求的量身定制,在前两个户型基础上,做了更尊奢的开间尺度。据说,保利前基于客户做了非常多的样本调研,所有亮点也能看到保利对于改善家庭需求的思考。
阳光梯厅设计,在市场上不多见,业主能享受更加通透舒适的归家体验。

类一梯一户, 更安静的归家动线,顶级豪宅才有的子母门设计,可谓超配!仪式感满满!

大开间的U型厨房, 动线更加流畅,多人共同烹饪也游刃有余
南北通的客厅 尺度也极为优秀,从丰盛的家族聚会,到会客仪尊崇感,都十足优越!
主卧套房270°大转角飘窗 ,步入式的衣帽间设计,奢华酒店行政套的设计手法,能带来纯正的居家度假式体验。
诸多 “懒人设计”, 保利把生活研究透了

同级天花板的收纳体系

全屋智能系统, 无论是通过手机APP远程调节灯光色温、开关电器设备,还是以语音指令唤醒灯光、开合电动窗帘,或预设归家、离家等智能场景模式,都非常方便,将科技与生活无缝融合。

常规项目只有三个卧室有飘窗,而保利天奕做到 “全屋飘窗” 。不仅厕所、厨房间都有飘窗, 边户还做到双约270°飘窗。

巧妙把过道和餐厅结合在一起,避免了动静分区户型中空间的浪费。

土拍回顾及规划
2024年10月28日,上海七批次土拍, 经过73轮竞争 ,最终保利发展以32.93亿拿下唐镇核心浦东新区PDPO-0405单元C-05C-04、C-05D-03地块; 溢价率26.5%,楼板价高达4.4万/㎡。

项目四至范围:东至佑仁路、南至C-05D-02地块、西至允迪路、北至银鼎路。

项目由两幅子地块组成,其中,C-05C-04地块出让面积 12023.79平方米;C-05D-03地块17906.23平方米;总计29930.02平方米,容积率2.5,限高80米,
建筑面积约74825.05平方米, 全装修比例100%,装修标准2500元/平方米 ,



根据设计方案显示,C-05C-04地块 拟建2栋6-7F多层住宅、2栋17F高层住宅、 1栋15F保障房、1栋社区文化中心以及若干社区配套, 共计规划229户!

C-05D-03地块 拟建5栋17F高层住宅 以及若干社区配套, 共计规划365户 ,此地块无保障房!

要想成标杆,首先一定要是颜值标杆。保利天奕以突破性的设计语言,从国际艺术立面到酒店式门庭,从270度转角飘窗到第五立面的细节打磨,以国际审美与匠心,拔升了张江建筑美学的高度。
国际艺术立面,张江新的美学天际线
项目立面使用大面积玻璃+铝板+局部涂料,以突破性大窗墙比设计,赋予建筑轻盈灵动的现代质感,同时让室内通透明亮。
从效果图可见,铝板硬朗的金属光泽与米白色石材相互碰撞,气派与温润并存。
保利天奕突破的不仅是成本,更是审美与颜值,从各个角度看过去,它都是区域当之无愧的视觉焦点。
酒店式高奢门庭,重塑归家仪式感
项目归家门庭气派非凡,并通过石材、铝板元素,构建出极具质感的空间和松弛氛围,令张江的归家仪式感焕然一新。
约270度转角飘窗,勾勒柔美线条
建筑立面转角处匠心设计约270度转角飘窗,打破传统方正格局,拓宽视野边界,将窗外美景尽收眼底。
全维度美学呈现,第五立面也精彩
不仅在建筑主立面精雕细琢,保利更将目光投向第五立面,比如在大家都不注重的入户大堂顶部,保利也进行了美化。
以后,无论从地面仰视,还是高空俯瞰,都能感受到项目无死角的美。
新度假休闲体系:内外一体化园林,把“全球最美花园”搬到楼下
项目园林景观用一次形容就是“内外兼修”,内部将全球花园美学与全龄生活场景融于日常,外揽约1.7万方生态绿地,科创繁华与自然静谧在此完美交织。
这片外部绿地不仅是城市绿肺,更是全龄活力社交场,将自然景观与运动、亲子、社交功能深度融合。
内部园林汲取全球五大经典花园的设计精髓,精心雕琢米勒花园、岛屿水院、红酒派对花园、森林浴花园、毕加索儿童乐园等景观节点。多层次度假氛围树种错落有致,营造出步步皆景的松弛感,让邻里间的温馨交流,在绿意盎然的怀抱中自然发生。
在这里,业主既能快速接驳张江的科创浪潮,又能在唐镇的生态谧境中,享受专属的松弛生活。
新会所功能:约1500㎡国际化会所,不仅泳池健身,更有桑拿、保龄球等
在高端住宅市场中,配备会所的项目本就稀缺,而保利天奕打造的约1500㎡下沉式会所,更是以媲美3000万+豪宅的配置惊艳众人。
不仅配备了泳池、健身、瑜伽、私宴厅、会客厅,更突破性地引入保龄球/沙壶运动空间、高压氧舱、桑拿——这些在上海极为罕见的特色设施,瞬间让会所脱颖而出。
特别高压氧舱通过增加血氧含量,有效缓解疲劳、改善睡眠,为快节奏生活中的城市精英带来深度的身体修复;而桑拿房可以在高温与蒸汽的包裹中,释放压力、放松肌肉。
看到这里,保利天奕这场改善升维,绝不只是配套的简单相加,也不是单纯造房子,而是以国际化社区为载体,配备国际化功能,将N种前沿生活,搬到家楼下,造生活、造体验,将松弛感进行到底,也在产品迭代上重新定义高端社区的新生活方式。
生活配套
交通方面: 项目所在唐镇板块靠近张江科学城,距离2号线唐镇站不到300米,十足的纯地铁盘。
自驾上,可以通过项目北面新通车的龙东高架路,快速上到中环去往市区各大核心商圈,周边还有高科中路、华夏路等,去往浦东各节点都比较便捷。

商业方面: 项目周边有恒生万鹂广场,阳光天地;未来创新中路规划有TOD商业综合体,地铁去张江长泰广场也非常方便。
恒生万鹂实景图

阳光天地实景图

教育方面: 项目周边有东方幼儿园,福山唐城外国语小学和建平培德实验中学,隔壁绿城御园对口东方幼儿园,福山唐城外国语小学,初中为统筹安排(仅供参考,期房不承诺学区对口)。

医疗方面: 周边有浦东新区人民医院,曙光医院等。
生态休闲: 周边有约60万㎡“龙东公园”(张家浜楔形绿地三期,在建),近20万㎡人工湖“龙东湖”,唐城绿地文化公园、金海湿地、华夏公园等。

保利天奕售楼处电话:4 00-8874-108✔【已认证】⭐⭐⭐⭐⭐
保利天奕营销中心电话:400-88 74-108✔✔【已认证】⭐⭐⭐⭐⭐
上海保利天奕官方售楼处电话:400-8874-10 8 VIPLINE✔✔✔【已认证】⭐⭐⭐⭐⭐
如有问题可来电咨询,线上售楼中心,预约销售专员,一对一为您服务!
想了解保利天奕更多信息?拨打售楼处营销中心热线:400-8874-108 (中介勿扰)【24小时热线】
楼盘项目全面介绍,本电话为开发商提供线上预约售楼电话,楼盘项目全面介绍(包含楼盘简介,均价,房价,现房,期房,别墅,叠墅,大平层,价格,楼盘地址,户型图,交通规划,备案价,备案名,项目配套,样板间,开盘时间,认筹时间,楼盘详情,售楼处电话,最新消息,最新详情,周边配套,一房一价,最新进展等详情咨询)楼盘详情丨价格丨更多优惠丨机不可失丨欢迎致电丨诚邀品鉴!售楼处位置丨特价房丨工抵房丨剩余房源丨户型图丨最新消息丨免责声明:将文章内容综合来源于网络、只作分享,版权归原作者所有!!如有侵权,请联系我们,我们第一时间处理如有问题欢迎来电咨询,专业一对一热情服务,让您用专业眼光去买房.如果您想了解更多楼盘详情,欢迎提前预约拨打
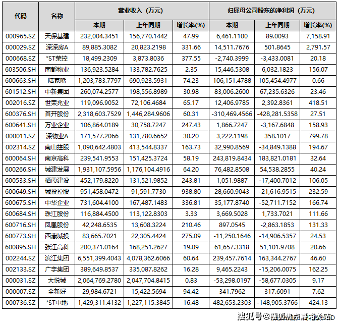
中房网根据同花顺iFinD数据统计,截至10月31日,A股共有85家上市房企披露2025年三季度业绩报告。其中,超4成房企营收实现同比增长;43家房企实现盈利,占比超五成;归母净利润实现同比增长的房企共有37家,占比为43.53%。
自2022年起,房地产行业业绩承压态势已延续数年。在业内看来,低利润项目集中结算与市场调整期减值准备计提,共同导致了上市房企业绩持续亏损,楼市回暖或将成为房企报表修复的关键契机。
超4成房企营收同比增长
从上市房企三季度报告来看,营收实现同比增长的房企共有36家,占比为42.35%;营收同比下滑的有49家,占比57.65%。
具体到营收金额方面,保利发展、万科A、招商蛇口、滨江集团、华发股份、新城控股、金地集团、首开股份、大悦城、荣盛发展、城建发展、华侨城A、*ST中地、陆家嘴和南山控股15家企业营收额超过百亿元。其中,保利发展、万科A和招商蛇口分别以1737.2亿元、1613.9亿元和897.66亿元的营收居于A股上市房企前三位。

部分头部房企亏损较大
归母净利润方面,前三季度共有43家房企实现盈利,占比超过五成。
其中,有7家房企归母净利润超过10亿元,分别是*ST中地、招商蛇口、南京高科、滨江集团、保利发展、上海临港和陆家嘴。

上述房企中,*ST中地(中交地产)的表现较为亮眼。三季报数据显示,公司前三季度营收达142.93亿元,同比增长16.48%;实现净利润48.27亿元,扭亏为盈,同比大幅增长424.13%。
作为一家“披星戴帽”的房企,其账面盈利的核心驱动力来自重大资产重组。今年6月,*ST 中地公告称,计划将旗下房地产开发业务相关的全部资产与负债,转让给控股股东中交房地产集团有限公司。这一重组事项在8月31日完成实质资产交接,房地产业务自此正式退出公司合并报表范围。
据悉,资产重组为* ST中地带来64.89亿元的资产置出相关收益,这一数据直接拉动了当期利润表现,同时推动归属于上市公司股东的净资产转正至12.48亿元。
让人唏嘘的是,三季度业绩亮眼的房企,恰恰是已经退出房地产开发业务的那家。
值得注意的是,期内部分龙头房企归母净利润出现较大亏损,如万科、*ST金科、华夏幸福等。
数据显示,今年前三季度,万科实现营业收入1613.9亿元,同比下滑16.61%;归属于上市公司股东的净亏损280.2亿元,同比下滑56.14%。
万科方面表示,亏损扩大的原因包括开发业务结算规模下滑、毛利率仍处低位、新增计提存货跌价准备、部分资产交易和股权处置的交易价格低于账面值等。
另一亏损规模超百亿的为*ST金科。前三季度,金科实现营业总收入56.99亿元,同比下滑73.57%;归母净利润亏损107.78亿元,同比下滑102.12%。
还有华夏幸福,其亏损规模也近百亿。前三季度,公司营业收入为38.82亿元,同比下降72.09%,归属于上市公司股东的净利润亏损98.29亿元,同比下滑338.67%。
25家房企实现营收和归母净利润双增
前三季度有25家房企实现了营收和归母净利润的双增长。

有37家房企实现归母净利润实现同比正增长。其中,天保基建、深深房A、深物业A、渝开发、*ST中地、世荣兆业、城投控股、南山控股、中华企业、广宇集团、万业企业、南都物业、新黄浦、凤凰股份、中洲控股、珠江股份、栖霞建设17家房企前三季度的归母净利润增长超过100%。
其中,天保基建前三季度归属于上市公司股东的净利润增幅最大,为7158.91%。天保基建表示,业绩增长主要得益于报告期内满足收入结转条件的项目增加,以及冲回的土地增值税增加和资产减值损失减少。
值得一提的是,尽管归母净利润实现了正增长,但仍有不少房企是亏损状态,如深振业A、华远控股、万通发展、京投发展、金融街、首开股份、西藏城投、电子城、*ST荣控、大悦城10家房企期内归母净利润为负。

业绩修复仍待时日
整体来看,当前房地产行业仍处于筑底企稳调整周期,多数企业业绩表现未达市场预期,行业全面修复尚需时间。
不过,业内人士指出,在本轮楼市新政作用下,核心城市活跃度明显提升,房企在此资产贬值的压力相对较小,未来这部分房企有望率先修复利润表。多家企业也表示,通过在核心城市拿利润较高的项目,逐步带动利润表的修复。
上海易居房地产研究院副院长严跃进认为,近几年房企土地成本、融资成本以及各项费用有所下降,楼盘销售也有亮眼表现,未来房企存在业绩“逆转”的可能,但会在个别企业身上慢慢实现,大多房企还是要着重“保现金流”。