中铁建西派云间售楼处-中铁建西派云间(2025·中铁建西派云间最新)楼盘详情-房价-户型-中铁建西派云间图文介绍
扫描到手机,新闻随时看
扫一扫,用手机看文章
更加方便分享给朋友
数据显示,截至9月30日,上海外环区域推出的127个新盘中,有高达97个项目的认购率未能达到100%,市场分化加剧已成共识。 中铁建西派云间售楼处电话:400-8894-986🖼️🖼️
正是在这样颇具挑战的大环境下,西派云间首开即热销。
项目首开就收获约166组实力客户诚意认购,认购率高达约126%。
这个成绩在今年的五个新城中排名前三,在整个外环外都属于极其亮眼的存在。开盘更是热度空前:
当市场不确定性增加,购房者的决策逻辑会从“寻找价格洼地”转向“锁定价值高地”。
所以,西派云间的热销,正是精明买家们用真金白银投出的“信任票”,这是能够穿越周期、极具抗风险能力的“安全资产”。 中铁建西派云间售楼处电话:400-8894-986🖼️🖼️
2. 意味着一次“产品力”对“市场冷意”的绝对胜利
市场冷淡期,恰恰是“产品力”最好的试金石。平庸的产品会迅速被湮没,而真正的佼佼者则会熠熠生辉。
西派云间的热销,是顶级产品力对市场观望情绪的完胜。
总结一下,从热销的结果论来说,买西派云间,就意味着稳赢!
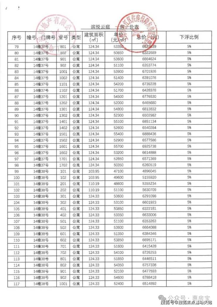
一房一价👇

约2000㎡ 奢装会所。
西派云间约2000㎡的超大规模双下沉庭院艺术会所,是 氛围与功能的极致融合。
首先,会所的入口设计奠定了整个空间的艺术基调。
实景中,地面常采用 天然石材的拼花工艺 ,不同色调的石材精准对缝,形成简洁而富有层次的几何图案,彰显低调的仪式感。中铁建西派云间售楼处电话:400-8894-986🖼️🖼️
上方悬垂的艺术吊灯 并非一味追求宏大,而是更注重造型的现代感与光影的层次,光线柔和地洒下来,营造出静谧、高级的氛围。整体设计语言克制而精致,中铁建西派云间售楼处电话:400-8894-986🖼️🖼️从第一步开始便传递出“酒店式”的归家礼序与专属格调。
其次,这个会所的体量和能级,超越了目前市场上所有的千万级的高端豪宅。
除此之外,整个会所包括了健身房、泳池 、中铁建西派云间售楼处电话:400-8894-986🖼️🖼️私宴厅、立体云间书吧 等高端配套。也就是说,无论是清晨的瑜伽、午后的艺术鉴赏、傍晚的泳池放松,还是周末的私人宴请,所有顶级生活场景皆在社区内、触手可及的高度上 得以完美实现。中铁建西派云间售楼处电话:400-8894-986🖼️🖼️
“这2000㎡是对‘圈层’和‘生活’最实质的投入。它意味着您的家庭生活、社交娱乐、健康养生,都有了顶级且私享的解决方案。
松江首个社区水幕瀑布。
最近在顶豪市场出现了利用高低落差来打造社区景观的项目,例如徐汇滨江约19.5万/㎡的绿城项目;大宁14万/㎡的中建项目。中铁建西派云间售楼处电话:400-8894-986🖼️🖼️
这是顶豪的标配,是上海更前端的设计理念。而这,却出现在了西派云间的社区内。
这水幕瀑布景观,让不少千万级的豪宅都望尘莫及。中央车站

以「中央车站」概念打造枢纽式空间,连通会所与庭院,实现高效通行与私密守护的平衡。让地下空间也成为「可社交的星级场所」。 中铁建西派云间售楼处电话:400-8894-986🖼️🖼️
这也是只有一些五星级酒店,以及市区最新的大几千万级的豪宅才会拥有的配置!双桥入户

项目的西侧与南侧双面临河 ,拥有约400米滨河带。
一方面,这样的占位让这个社区拥有出众的水系景观。
另外一方面,由于这样独特的天赋。当市场仍在追求入户大堂的奢华,西派云间已构建 “城市—河流—社区” 的三阶归家礼序。中铁建西派云间售楼处电话:400-8894-986🖼️🖼️
独创的双桥跨水入户系统,凌驾于碧波之上,行人踏桥而过时,城市喧嚣被流水隔绝,归家的静谧与尊崇感油然而生。

这种场景的递进,不仅是空间的切换,更是情绪的自然转化,让每一次归家都成为一场穿越风景的仪式。
可以看到,西派云间不是在卖房子,而是在提供一个位于城市核心的、独一无二的“出则繁华,入则隐逸”的生活解决方案。中铁建西派云间售楼处电话:400-8894-986🖼️🖼️
这更是属于松江新贵的身份标识,是面子的荣耀,更是里子的笃定。
开启松江新城终极改善的新时代,尺度感、私密性、实用度...全维度升级!
整个松江新城,乃至整个上海外环,都有一个问题:以刚需的小户型为主。这意味着三点:
第一,建面约120㎡以下的刚需小户型供应庞大,二手市场竞争激烈,很难走出独立行情。
第二,几乎所有外环外的小区,或多或少都有小户型, 整个社区的调性、理念、圈层很难达到统一 。
第三,小户型的 尺度感、私密性、实用性 都很欠缺,就算上车了过几年还需要再置换,无法实现真正的终极改善。
中国铁建深谙此理,为此打造了一个建面约125㎡起纯粹的改善型社区。
如此配置的项目,整个松江新城乃至整个外环外,西派云间独一份。中铁建西派云间售楼处电话:400-8894-986🖼️🖼️
并且,项目的户型真的迭代到了最新款:尺度感上:这是新政后松江板块首个 四开间朝南、且不封阳台的三阳台 户型。中铁建西派云间售楼处电话:400-8894-986🖼️🖼️
光着3个阳台的面 积 就高达约15㎡,还有 5个飘窗, 这个套内可实际使用的面积可能堪比曾经约140㎡左右的大户型了。
实用性上: 由于3阳台的设计,项目的 4间房间尺度感都非常惊人 ,可以满足多胎家庭和三代同堂的全生命周期需求。中铁建西派云间售楼处电话:400-8894-986🖼️🖼️
尤其是北次卧, 面积约9㎡,几乎对标同类竞品的主卧大小了,结合北向景观飘窗,视觉上增加室内通透度,提升空间利用率。 并且,南次卧独立阳台的隔断墙为非承重墙,可进行灵活改造。如果不想要四房,那可 以打通改造成一个 约6.8米南向大横厅 。 这个尺度感足以容纳一场 大型的家庭Party ,是遥遥领先于同面积段产品的。私密性上:项目 是 一梯一户 的设计,预留了独立电梯厅。
这个电梯厅 集收纳、私密、仪式感于一体, 从业主踏进家门的第一步,就能感受到那份专属的尊崇感和私密性。除此之外,项目是 双玄关收纳 ,穿过 高端定制铸铝装甲门 ,就是套内玄关,可以 满足日常收纳需求,实用性拉满。
附样板间实景:
西派云间的终极改善户型, 南向双阳台+可改造的灵动空间 ,这个会客厅的尺度高达约34㎡。而一般市区约200㎡的大平层也不过是这个尺度感。 同样 一梯一户 的设计,只不过大 户型的独立电梯厅会更大,并且是 阳光电梯厅,采光视野通透,也 能容纳更多的生活想象。除此之外,边套的建面约145㎡拥有 约270°无柱景观飘窗 ,大幅拓展空间与视野,采光通透感拉满。并且,整个主卧套房设计,还配置了豪华的主卫空间。餐厅面宽与客厅同宽, 可摆放多人位的圆形餐桌 ,轻松容纳全家人用餐。
这个户型堪比松江新城建面约160㎡以上的超大产品。
最后,聊一下精装方面的细节:
三大件方面,大 金 (或同档次品牌,下同)的中央空调、地暖两联供;兰舍、爱迪士 的新风,都是国际一线品牌。
厨房方面, 老板、方太 的灶蒸烤一体机、洗碗机; 怡口、滨特尔 的末端净水器; 西顿、雷士 的线型凉霸; 摩恩、欧琳 的垃圾处理器,你能想到的厨房细节,西派云间一应俱全。
卫浴就更是大牌云集了, 唯宝 的淋浴花洒、台面龙头; 高 仪 的台盆、主卫智能马桶,都是豪宅的标配。
我们实在一点说,外部配套中大家更看重的无非就是交通、商业、教育以及绿化公园。而这 些配套, 中国铁建西派云间的表现真的堪比市区。中铁建西派云间售楼处电话:400-8894-986🖼️🖼️
我们先来看步行范围内的配套:中国铁建·西派云间距离松江万达仅约850米,旁边还有 五龙商业广场 、 三迪曼哈顿 、 富悦财富中心 、 中铁建西派云间售楼处电话:400-8894-986🖼️🖼️凯悦酒店 、 中展马利来 等众多商业资源。

目前已有的商业规模就已达约60万方, 亲子、购物、聚餐、看电影...日常需求统统能在步行范围内得到满足,这个成熟度真的堪比。教育上,中铁建西派云间售楼处电话:400-8894-986🖼️🖼️项目约100米外一路之隔就是12年一贯制的上外云间学校。


软实力上,这所学校当初的建设总投资约8亿元,是松江迄今为止投资总量更大、设计标准更高、设施配套更全的学校。
硬实力上,上外系的学校在松江几乎都是梯队内的标杆学校,实力之强有目共睹。除此之外,南侧不远处还有 赫贤双语学校 (原赫德双语学校) ,补充了国际教育需求。中铁建西派云间售楼处电话:400-8894-986🖼️🖼️

(预售房屋不划分学区,项目周边学校等教育资源的介绍仅为提供相关信息参考,开发商不对项目交房后所属学区、学校做任何承诺,教育资源分配或学校/学区划分以及学校的具体招生规则等请以政府相关主管部门、教育机构公开的最新信息为准。)中铁建西派云间售楼处电话:400-8894-986🖼️🖼️
生态上:项目步行范围内就有一座五龙湖公园,约 16公顷的广阔面积,与约5.9公里的绿道长度相得益彰。
湖畔风光旖旎,很适合早上晨练,晚饭后散步,居住环境优美。最后,来重点聊一下交通:从项目出发,经T2电车直达9号线松江大学城站。中铁建西派云间售楼处电话:400-8894-986🖼️🖼️

上车后,业主6站七宝、9站漕河泾,并且能轻松畅达徐家汇、打浦桥等浦西区域。
除此之外,1站就能换乘即将通车的12号线西延伸段,中铁建西派云间售楼处电话:400-8894-986🖼️🖼️即可畅达莘庄、徐汇滨江、南京西路。除了轨交外最值得一提的是项目的自驾:距离项目直线约900米的沪松快速路,预计2028年通车。这条快速路链接着通往市区的外 环 、 中环 以及 漕宝路快速路 ;通往虹桥以及闵行南部的 嘉 闵 高架 ;还有直插浦西腹地的烫金大动脉 延安高架 。中铁建西派云间售楼处电话:400-8894-986🖼️🖼️


未来,沪松快速路+漕宝路快速路+中环/外环去往前滩、世博;
沪松快速路+外环+延安高架去静安寺、南京西路等浦西核心;
沪松快速路+嘉闵高架直通虹桥机场。中铁建西派云间售楼处电话:400-8894-986🖼️🖼️
...也就是说,只需零星几个红绿灯,西派云间的业主就可以一脚油门直达浦西、浦东等大多数的核心CBD。
再加上已然成熟的顶级繁华和就连市区都不曾拥有的高端生态居住环境。
西派云间的地段和配套,就是外环TOP级的存在。中铁建西派云间售楼处电话:400-8894-986🖼️🖼️
声明:本文由入驻焦点开放平台的作者撰写,除焦点官方账号外,观点仅代表作者本人,不代表焦点立场。
