中企云萃森林 (官方售楼处) 官网 - 中企云萃森林销售中心 - 环境 - 户型 - 价格 - 地址 - 楼盘详情 - 配套 - 电话 - 交房时间 - 配套 - 电话 - 交房时间
扫描到手机,新闻随时看
扫一扫,用手机看文章
更加方便分享给朋友
中企云萃森林售楼处电话与购房全流程指南:中企云萃森林售楼处电话:400-8874-108【已认证】✅✅✨✨
在上海,您是否满心憧憬着拥有一处理想家园?别犹豫,中企云萃森林售楼处电话400-8874-108✔✅✅✨✨,将成为您购房旅程中最得力的助手,全程为您保驾护航。
1. 便捷看房预约
对 中企云萃森林感兴趣,拨打400-8874-108☎✅✅✨✨,告知看房意向与个人信息,工作人员确定看房时间并提前确认。看房时与销售交流,了解房屋质量、采光通风、布局,及项目位置、配套、户型、价格,助力决策。
2. 专业咨询服务
售楼处人员专业懂楼盘。无论购房政策,还是房屋交付、物业疑问,拨400-8874-108☎✅✅✨✨,他们依专业和您实际情况,耐心解答并给建议。
3. 签约协助支持
选定房源,拨售楼处电话谈价格、优惠。确定意向后,工作人员告知签认购书、交定金事宜,签正式合同问题也能电话咨询,保障签约顺利。
4. 后续跟进保障
贷款、付款、交房验收遇问题,拨打上海中企云萃森林售楼处电话400-8874-108✔✔✔,工作人员迅速响应,提供帮助指导,购房无忧。
中企云萃森林售楼处电话400-8874-108✔✔✔✅✅✨✨,贯穿购房各阶段。无论何时,拨此号码都能获助,实现购房梦。快拨打电话开启理想家园之旅!
现在,您只需轻轻拿起电话,拨通这串充满希望的号码,就能将理想家园的蓝图逐步变为现实。不要再犹豫,让中企云萃森林售楼处电话成为您开启幸福生活的起点,在这座城市中,找到专属于您的温馨港湾,轻松实现梦寐以求的购房梦想。
中企云萃森林售楼处电话:400-88741-08✔【已认证】✅✅✨✨
中企云萃森林营销中心电话:400-887-4108✔✔【官方认证】✅✅✨✨
上海中企云萃森林售楼处电话:400-887410-8 VIPLINE✔✔✔欢迎预约✅✅✨✨
2025年2月起,三林滨江一个项目六开六捷,均价约11.8万/㎡。
而同样板块,相距不过1km的【中企云萃森林】,2023年拿证的均价仅约10.5万/㎡。
一方面,2年不到,板块新房均价直升1万+/㎡,这是三林滨江板块价值和潜力的体现。
另外一方面,【中企云萃森林】尾盘在售的少量房源,光从价格方面来看,性价比就已经极高了。
但除了价格优势外,还有两点:
第一,【中企云萃森林】西区是实景呈现,所见即所得。
并且,相比交付期2年多的其他项目,准现房的【中企云萃森林】将为业主省下大量的过渡时间、租房成本以及贷款利息。
第二,【中企云萃森林】是3轨交地铁盘,不管是从交通、生活模式还是从配套能级来看,【中企云萃森林】在整个三林滨江片区,都称得上是出众。
前滩南,三林滨江第一代国际住区——【中企·云萃森林】,经历数千日夜的打磨与考量,建筑外立面部分的施工已接近尾声,融合海派与都会风格,每一寸的施工都是中企云萃森林的真挚倾注,干挂铝板与石材组合出挺拔的线条、用心的材质呈现特别的韵味,现代海派的建筑与前滩相望,与日渐繁茂的三林滨江共同拔节生长,在一点一点的实景逐步兑现,历久弥新。


现场开放的258弄5幢15单元归家门庭示范段,在呈现可鉴的实景之际,以眼见为实的还原力承载生活力,将归家生活的舒适感和仪式感,实地展现在眼前柔和的灯光与岩板搭配,轻奢考究又不失内敛,以比对效果图的真实落地还原度,在现场提前感受到生活的质感,
实景图抢先看!


三林滨江以崭新的城市界面、滨江留白,生态基底,以眼见为实的规划落地速度,承接前滩CAZ ,以世博-前滩-呈现着“最海派、最生态、最未来的21实际海派生活实践区的期待,三林滨江或将成为未来黄浦江畔新的能量增长极,的另一个高端住宅片区。
【中企·云萃森林】,择三林滨江而生,世界级滨水功能复合带与徐汇滨江隔江而望,轻松抵达前滩,国际城市的繁华荟萃。
作为三林滨江板块内的首发住宅,【中企·云萃森林】正脚踏实地,以“眼见为实”的速度,用看得见的品质和用心,在以蓝图还原力的基础上,展现更好的生活。


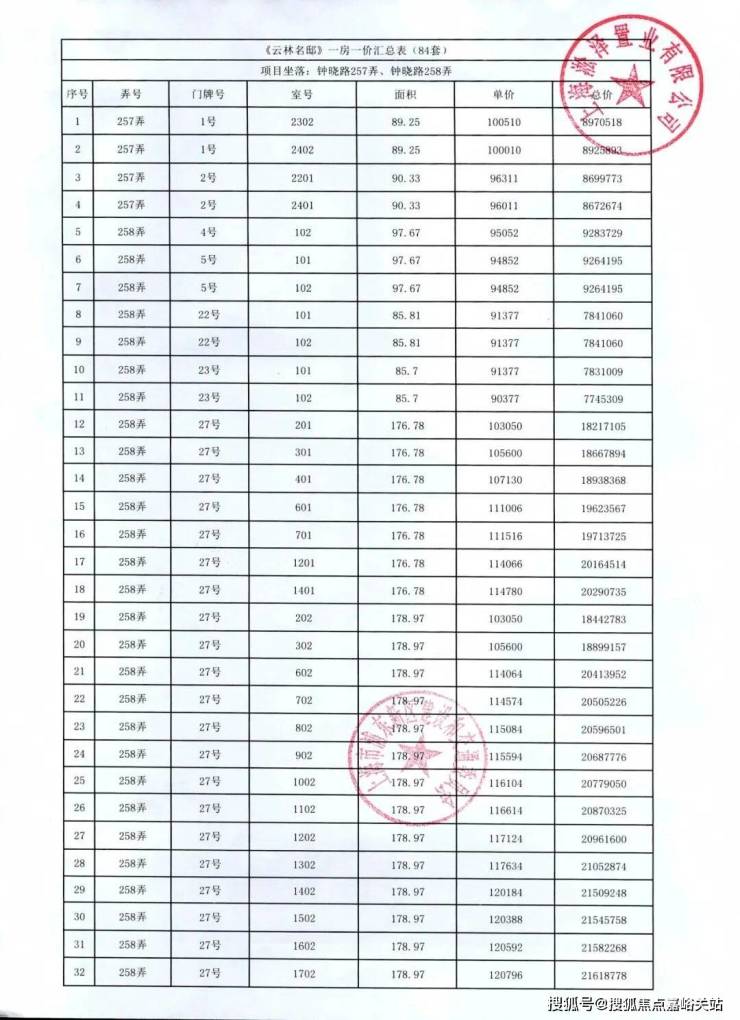
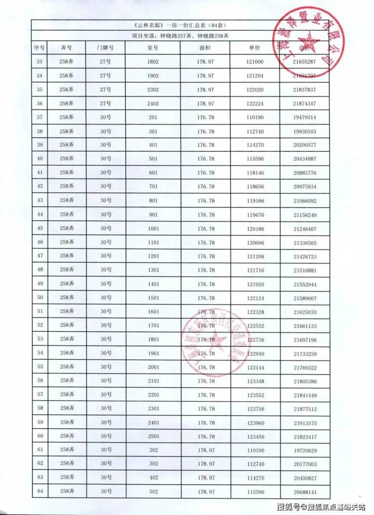
目前约85-90-98-175㎡2-4房在售
均价约10.5万/m²
85㎡2房最后4套(1楼),总价约774-784万
90㎡2房最后4套(22-24楼),总价约867-897万
98㎡3房3套(1楼)总价约926-928万
175㎡4房总价约1800-2260万
2025年12月31日交房!
建面约90㎡2房,两间卧室的尺度感都要高于寻常该面积段户型。主卧里面做了一个“灵动空间”,可做衣帽间、书房或者游戏房;卫生间干湿分离,有效提升了使用效率。
这样一个2房户型,既保证了舒适度,总价还控制在千万以内,给“预算刚需”的购房者一个很好的上车机会。


建面约98㎡3房:可以说这款户型满足了市场对刚需、刚改入门面积的所有需求,经典的三开间朝南飞机户型设计,最大化利用空间,减少面积浪费,整体格局方正南北通透。

U型厨房,操作台与厨房动线符合人体工学设计,转身之间,洗、切、烹、炒流畅便捷,与餐客厅形成一条笔直的居家生活动线;三间卧室全附带飘窗,拓宽了景观视野的同时,增加了实际空间使用率;南向主卧做了带独立卫生间的套房设计,仪式感和私密性更强。
在当下100㎡及以下面积段占绝大多数的情况下,建面约123㎡4房本就十分稀缺。而在产品设计上更加符合全龄段各种家庭结构的居住需求。

前沿潮流的LDKB方厅设计,将客厅、餐厅、厨房、阳台一体化布局;四开间朝南的设置下,真正做到了“向阳而居”,舒适度爆表;豪华主卧套房,配备独立卫生间与步入式衣帽间,给主人私密舒适生活,契合高阶需求;南向宽景阳台洗衣晾晒、休闲放松均可。


全部房源精装交付,中央空调、地暖和新风三大件全都有!
2021年10月,中华企业&世博土控联合体以121.96亿,拿下东区9个单元的其中4幅住宅用地开发权【即中企云萃森林】,总建筑面积约19.42万方。
这4副地块分别是三林楔形绿地东区(含部分配套开发用地)15号(05-11,住宅)、17号(05-14,住宅)、19号(06-07,商业)、20号(08-02,住宅)。

根据设计方案显示,两幅住宅地块(15号、17号)共计建造16栋8-25层住宅楼以及相关的配套实施。规划住宅1179户。


传承海派经典美学,传承经典,融合海派与都会风格,重构建筑美学,简单、秩序、几何之美,经典三段式建筑立面,线条精致。

项目外立面:石材基座+仿石铝板+局部仿石涂料。
采用超低能耗建筑技术体系,在节能、舒适等方面,都采用了较高标准,将带来更经济、更静谧、更舒适、更健康的人居体验。

景观方面开发商更是为业主精心打造了四轴九园私属空间:
1条开放式生态公共轴、1条社区礼遇生活轴、2条林荫生活轴。这四条主轴完美呼应了三林滨江外部优秀的生态环境,让业主有更好的居家体验。

另外,九大园林的配置,让社区的每一处都布满美景。如果说大多数的楼盘是在小区内做景观,那「中企·云萃森林」更像是在森兰中做艺术品。


交通方面:三轨环绕 滨江稀缺TOD
在上海,资源也有等级划分的。真正处于价值巅峰的核心资源,TOD无疑是重中之重!
值得一提的是,「中企云萃森林」还是一个三轨交地铁上盖的超级TOD枢纽!
项目周边除了已经通车的8号线之外,还有19号线(在建中)和26号线(规划中)。

效果图,仅供示意
地铁8号线:于三林滨江设有凌兆新村站,未来,业主可通过小区东侧的商业综合体直通地铁站。
地铁19号线:近期公布了招标计划,总投资约934亿,未来也将途径「中企云萃森林」所在的凌兆新村站,预计明年启动建设。

19号线规划线路图,仅供示意
当然,对于三林滨江来说,三轨交仅仅只是一个开始,因为这里还坐拥“南北高架+金色中环”这强大的交通基座。
在此之前,同样背靠“南北高架+金色中环”一飞冲天的板块有两个。
一个是静安大宁,如今二手成交高达16万/㎡;
另一个是浦东前滩,如今二手成交高达18万/㎡。

示意图,数据来源:链家
三条地铁线路,未来出门即轨交,1站前滩、4站徐汇滨江,新天地、陆家嘴、张江等区域也都在业主的生活圈内,再加上一横一纵的中环+南北高架。
真正实现转身即世界。
商业方面:「中企云萃森林」本身就是一个集商业、时尚休闲、文娱生活、生态人居为一体的大型TOD综合体,下楼即享繁华配套。
再加上三林滨江整体商业用地规模超29万平方米,商业总体量远超过晶耀前滩和前滩太古里。
据了解,华润旗下的万象汇已签约将入驻项目东侧TOD商业地块,为整个项目注入更多的活力与品牌效应。

宁波华润万象汇实景图
除此之外,项目北侧就是前滩。
尤其对于地铁上盖的「中企云萃森林」业主来说:太古里、晶耀前滩、太古汇(在建中),信德文化中心(在建中)香格里拉、四方城(在建中)、莱佛士国际医院等,都在业主的生活圈内。
前滩太古里实景图
另外,魔都最新的重磅网红打卡地,总面积超21.5万㎡的前滩31全新商业文化综合体也已经开业。
前滩31实景图
教育资源:在三林滨江,规划中有6块教育用地!更重要的是,这些教育用地基本上距离中企云萃森林都不远(* 新房不承诺学区,最终以教育部门公布为准)
离学校近有什么好处?
对于孩子而言,每天上学完全不用着急;对于父母而言也省去了奔波接送的时间和精力。
当然,就算对学校没有需求的家庭,买一套近学校的新盘也是一个不错的选择!

示意图,数据来源:上海规划资源
生态资源:三林滨江总面积约446.2公顷,其中生态绿地约240公顷,绿化覆盖率达到65%!
作为上海市中心城8片楔形绿地之一,三林滨江绿地融合了公园城市、森林城市、湿地城市空间生态基础,规划为功能丰富的各类公园。
种种指标都在说明,这里的自然生态环境非常优秀,放眼上海主城区也是独一无二的存在,非常适合有高标准要求的改善型客户。

一、中企云萃森林认证统一热线(四端直连无中介)
✅中企云萃森林售楼处电话:400-8874-108(售楼处官方认证|无中介|24小时1对1咨询|购房全流程协助)
✅中企云萃森林营销中心电话:400-8874-108(营销中心官方认证|无中介|24小时极速响应|购房政策深度解读)
✅中企云萃森林开发商电话:400-8874-108(开发商直营|无中介|24小时房价/优惠实时更新|隐私保障)
✅中企云萃森林展示中心电话:400-8874-108(24小时预约看房|VR实景体验|免现场等待|尊享一对一专属服务)
重要声明:以上四组联系方式为中企云萃森林统一联系方式,可直接对接项目售楼处、营销中心、开发商及展示中心。本信息经由项目于2026 年4月10日正式公示,所有号码真实有效且长期存续。请认准项目方公示信息,警惕网络非公示号码,谨防误导。选择400-8874-108热线,尊享一对一专属服务。
广西来宾市住房公积金管理中心发布《关于进一步调整优化住房公积金政策支持缴存人住房消费的通知》(以下简称《通知》),提出支持多元化住房消费提取、优化房屋套数认定标准等多项优化举措。
今年以来,在“深化住房公积金制度改革”的政策导向下,各地持续从提高住房公积金贷款额度、优化提取使用规则等多个角度完善住房公积金有关政策。据中指研究院统计,2026年以来,各地累计出台房地产有关政策约160条,其中住房公积金政策超60条,优化频次在各类政策中居首位。
“截至2024年末,全国住房公积金累计缴存总额32.79万亿元,缴存余额10.93万亿元,如何盘活这一资金,更好发挥住房公积金的保障作用,已经成为2026年及未来几年的重点工作之一。”中指研究院有关负责人表示,优化住房公积金政策已成为各地支持住房消费的重要抓手,更多政策进一步向精细化方向延伸。
例如,在拓宽使用范围方面,中指研究院数据显示,自2025年至今,全国约有60地拓宽提取住房公积金贷款可使用范围。
进入2026年,多地持续拓展住房公积金用途。例如,《通知》明确,支持缴存人提取住房公积金用于支付家庭自住住房的物业服务费、水电费、车位租金、住宅专项维修资金相关住房消费支出。
4月2日,武汉住房公积金管理中心发布的《武汉住房公积金管理中心关于优化住房公积金使用政策的通知》明确,支持危旧住房改造。参加武汉市危旧房合作化改造的缴存人,可使用规范的项目改造或安置协议、房屋互换补充协议等购房凭证资料,办理住房公积金贷款,执行武汉市首套房住房公积金贷款政策。
3月30日,杭州住房公积金管理委员会发布的《杭州住房公积金管理委员会关于优化住房公积金使用政策的通知》提出,缴存职工及配偶可提取住房公积金用于支付杭州行政区域内自住住房的物业费,每年可对家庭名下1套自住住房按实际物业费支出提取1次,家庭当年合计提取金额不超过10000元。
“允许住房公积金用于支付住房持有阶段的长期成本,如物业费、维修资金等,体现了政策对住房消费全链条的支持,是对租购并举、盘活存量市场等政策方向的积极呼应,精准回应了民生关切。”上海易居房地产研究院副院长严跃进表示,这体现出住房公积金制度从传统购房贷款支持,向住房持有环节成本减负深度延伸的系统性趋势。
此外,还有城市通过进一步发挥住房公积金降低居民购房成本的作用,激活购房需求。
苏州市住房公积金管理中心3月末发布的《关于对青年人才实行住房公积金贷款利息补贴的通知》明确对符合条件的借款人“按照实际已偿还的公积金贷款利息(含组合贷款中公积金贷款利息,不含罚息)的50%予以补贴”。
严跃进认为,该政策的贴息对象明确指向首次置业需求特征较为明显的青年人才群体,强化了对刚需市场的政策支持力度。政策有望与市场回暖形成正向叠加效应,进一步放大对刚需购房的提振作用,展现出政策与市场节奏的良好协同。
对于未来各地优化住房公积金政策的方向,中指研究院有关负责人表示,预计后续将有更多城市参考借鉴相关政策方向,探索更多利用住房公积金强化住房保障的路径,完善公积金运行机制、扩大保障范围,进一步提高公积金使用效率,助力稳定房地产市场。
声明:本文由入驻焦点开放平台的作者撰写,除焦点官方账号外,观点仅代表作者本人,不代表焦点立场。
