最新消息: 保利世博天悦售楼处电话:400-8894-638
一线滨江顶豪保利世博天悦火热认购中!推出76席臻藏房源,其中建面约240-251㎡4-5房主力总价3000-5000万,项目已经准现房呈现,二期预计明年4月交房。
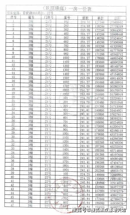
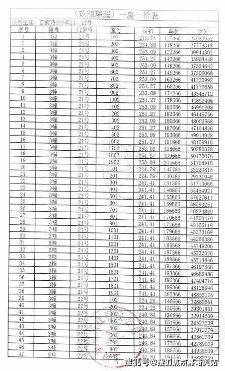
一房一价表如下:

保利世博天悦售楼处电话:400-8894-638

保利世博天悦售楼处电话:400-8894-638
在3000万+,乃至上亿的赛道,世博天悦被顶豪人群高度青睐。
从日前公布的2025年上海高端项目最贵单价和最贵总价TOP10榜单中,我们得以一窥端倪!

保利世博天悦售楼处电话:400-8894-638
数据来源近两年开盘项目的一房一价表
我们先说最贵单价TOP10:
在这份排名中,最高与最低的跨度超过10万/㎡!
5个项目的最贵单价超过20万/m²;
3个项目的最贵单价超过26万/m²,其中:
一线滨江世博板块的保利世博天悦(26.6万/m²)拔得头筹,成为2025年上海豪宅市场的 新晋王!
整体来看,在全球经济波动加剧的背景下,上海顶豪定价权正在向纽约、伦敦看齐,重塑全球资产价值坐标系!
而且,从这样的价格分布中不难发觉, 滨江豪宅正在改写传统上海顶豪的叙事规则!
保利世博天悦更是强势跻身第一梯队,甚至领先身位,带领上海乃至一线城市的顶尖资产向全球资产高地发起冲击!

保利世博天悦售楼处电话:400-8894-638
世博天悦实拍图
为什么保利世博天悦能有这样的底气?
原因很简单,沪上最有钱的一批群体已经用真金白银坚定表明了自己的立场!
项目首开一周年热销 200亿, 全上海能卖这么高货值的豪宅屈指可数!
也是上海 罕见均价17万/m²以上,单盘能卖到200亿的项目,大幅跑赢同期市面上绝大多数豪宅项目

再将时间轴往前移,从2023年至今上海豪宅单价超 20万/m²的成交量排行中, 保利世博天悦甚至力压 新天地、外滩、陆家嘴、苏河湾、徐汇滨江等一众热门板块新盘, 问鼎上海豪宅之巅!

保利世博天悦售楼处电话:400-8894-638
别墅产品未统计;网签有滞后,仅供参考
越贵越抢手,这就是保利世博天悦的底气所在!
这是上海顶豪市场的一次“戴维斯双击”,是保利世博天悦的登顶时刻,自此之后 一线滨江王者加冕,顶豪话语权交接,这就是上海楼市当前正在发生的改变...
还有一件非常重要,但很多人都还没注意到的事情,正在悄然发生
来看一组上海豪宅的真实网签统计数据:

别墅产品未统计;数据来源于上海房地产,网签数据有滞后
2024年至今,上海新房 总价超4000万的房源成交量TOP10豪宅中
排在第1位的是黄浦滨江的外滩壹号院- 324套
排在第2位的是外滩板块的金陵华庭- 157套
排在第3位是新天地的上海壹号院- 132套
入市刚满一年的保利世博天悦排在第4位-108套
但这并不是TA的全部实力,据悉,保利世博天悦整盘 总价4000万的房源超过220套(还有部分未推售)

保利世博天悦售楼处电话:400-8894-638
世博天悦实拍图
这就意味着,随着项目的持续发力,保利世博天悦在中国、在上海的地位只会越来越高,会有越来越多的高净值人群偏爱这里
毫无疑问,完全体的保利世博天悦将是上海未来烫金的至奢圈层!
尤其是对比目前上海很多小社区豪宅只有100+套甚至更少的4000万+房源,未来在二手市场保利世博天悦将掌握绝对的 统治力和 话语权!
这已经超脱出了一般豪宅的范畴,成为类似纽约One57或伦敦海德公园1号的 全球资产价值坐标,成为高净值人群的汇集的超级圈层!
世博天悦
3#楼火热认购中
站位更高端、产品更硬核
仅76席臻藏房源
建面约240-251m²4-5房
主力总价4000-5000万
更有建面约500㎡“隐藏户型”
项目已经准现房呈现
二期预计明年4月交房
01
OPUS ONE 500
“超亿俱乐部”王者降临
前面讲了2025年上海高端项目的最贵单价TOP10,接下来我们继续来看 最贵总价TOP10:

保利世博天悦售楼处电话:400-8894-638数据来源近两年开盘项目的一房一价表
总价上亿的大宅总共有 4个,分别是:
·新天地板块的上海壹号院(约2.49亿元)
·一线滨江的陆家嘴太古源(约1.8亿元)
·外滩板块的金陵华庭(近1.7亿元)
·徐汇滨江的绿城潮鸣东方(近1.54亿)
说实话,能进入上海“ 超亿俱乐部”的项目,无一不是上海顶级地段的顶级产品,TA们不仅代表着沪上居住空间的巅峰,更将会成为全球资产配置的战略选择
这其中的价值逻辑已超越房地产本身,成为观察中国经济韧性、高净值人群财富动向的核心窗口
作为全球资产价值坐标的保利世博天悦自然也不会缺席!
项目即将加推的3#楼爆出“ 一亿一宅”的“隐藏户型”,王者降临上海“超亿俱乐部”

建筑面积约500m²一线滨江巨幕平墅
上海塔尖圈层俯瞰世界的专属坐席
目前OPUS ONE 500 还处于保密阶段,小胖君给大家带来一手爆料:
·约35米L形巨幕观景台,双面瞰江带来前所未有的景观视野


保利世博天悦售楼处电话:400-8894-638
示意效果图,过程稿仅供参考
相当于将 纽约432 Park的顶层视野平移到了黄浦江, 这样的大国景观台,未来不会再有!
业主在家里一抬头便是以江景和都市为主题的巨幅油画!
从清晨到日暮,无论是晨雾中的江轮剪影,还是夜幕下的两岸华灯, 每一扇窗都是一幅名画,每一平方米都是城市的注脚

夜晚江景实拍
·4+1房&双豪华套房规制
OPUS ONE 500的双豪华套房尺度惊人,粗略预计面积均接近了 55㎡
独立内玄关、阳台、起居厅、步入式衣帽间、双台盆浴缸卫生间一应俱全,既考虑了空间感又保持了独立性,创造出了一个高度聚合又能彼此独立的家庭化空间, 尊贵私密空间在这里具象化!
·5个阳台,重新定义高端生活场景
客厅西侧的景观阳台、双豪华套房南侧的生活阳台(2个)、北侧瞰江的空中花园露台和书房阳台,在OPUS ONE 500, 保利将江景、花园、星空和社交,统统装进生活半径
这些都只是OPUS ONE 500冰山一角,还有诸如2梯1户超大专属电梯厅、超大尺度的宴会厅等等,这里的每一处空间设计都让人眼前一亮!

保利世博天悦售楼处电话:400-8894-638
示意效果图,过程稿仅供参考
毫不夸张地说,这座由LSD葛亚曦操刀打造的“空中行宫”带来的震撼,非真正亲临现场不能领略其绝代风采!

一个不是复制粘贴,而是从产品和格调上都量身定制的塔尖圈层专属席位!
当然,除了OPUS ONE 500之外,保利世博天悦这次还推出了 240-251m²4-5房,户型设计同样一流
·建面约240㎡边套,采用L型转角落地窗,打造了 270°环幕瞰江视野,无论身处客厅、餐厅,都能以不同角度眺望黄浦江的波光粼粼


保利世博天悦售楼处电话:400-8894-638
240m²边套样板房实拍
·建面约251㎡中间套, 整体瞰江面高达约14米,独有双层挑高露台,未来业主可以将其打造成为私家空中花园,在繁华都市中独享静谧自然


保利世博天悦售楼处电话:400-8894-638
251m²中间套样板房实拍
02
3#楼瞰江王座
大师高定全球资产封面
在顶级豪宅的定价体系里,江景从来都不是简单的自然景观,而是 左右房产价值的关键砝码
买家支付的不仅是黄浦江的粼粼波光,更是对这座城市统治级资源的独占权
自然资源的稀缺性,最终都会转化为阶级壁垒的混凝土,而且只为少数人所拥有!

项目实景图
也正因此,保利世博天悦3#楼一出场,便直接成为了整个上海一线滨江豪宅毫无争议的 瞰江王座!
原因有2个:
①保利世博天悦 是近乎绝版的滨江首排,直线距离黄浦江只有约 80米,与江几乎“触手可及”
而且,“ 近乎绝版”这4个字没有丝毫夸张成分!
据小编统计, 浦东滨江核心段(杨浦大桥-徐浦大桥)共规划12幅一线滨江住宅用地,其中9个已是现状小区,1个即将交房, 2个在售中(保利世博天悦就是其一)

保利世博天悦售楼处电话:400-8894-638
整个浦西核心滨江段除了现状二手房小区之外,未来的一线滨江商品住宅小区供应量是【 零】
对,你没有看错,就是零!
所以,保利世博天悦不仅是 当下滨江顶豪的巅峰更是上海核心滨江段一线滨江住宅的绝唱,错过不会再有!
② 3#楼是整个小区的首排小高层,是所有滨江顶豪中的VIP头等舱!

3楼栋分布图
270°江景视野,将S湾尽收眼底!论江景质量绝对是滨江顶豪中独一档!

保利世博天悦售楼处电话:400-8894-638
项目实景图
如此“亲江距离”、“极致江景”是当下滨江顶豪的巅峰,以后也不会再有了!
而保利并没有选择止步于此,而是以 国际大师级高定的标准,将3#楼量身打造为全球资产封面!

你很难在一个地产项目里一次性看到多家顶尖设计单位同台展露身手
SCDA创始人曾仕乾作为建筑及会所的设计师、新加坡景观设计团队 CICADA诗加达,同时携手5大顶级室内设计团队,CCD郑忠,程绍正韬,吴滨,H.N.LIN
所以你能看到, 项目类公建化立面,通过大面积玻璃设计和开放式铝板密拼工艺,一同拼接出美轮美奂的建筑轮廓,同频全球顶豪作品

保利世博天悦售楼处电话:400-8894-638
项目实景图
你能看到, 约6万m²的度假风园林景观、以水带路打造的“ 小黄浦江”

项目实景图
要知道, 社区是未来普通豪宅与顶豪的分水岭,装修不满意大可砸掉重装,但社区审美、工艺、用材等就像地段一样,你后期花再多钱都无法改变
这样 得天独厚的江景天赋和 匠心独具的大师定制,造就了保利世博天悦 无可撼动的全球资产封面地位!
03
世博板块再进化
无可争议的科创、文艺高地
今年3月,上海一江一河专项规划迎来全新面貌,世博板块定位 科技创新中心和 文化交流中心

图片来源于上海发布
从 产业定位来看,世博地区聚焦打造“秀外慧中” 世界会客厅、“绚丽璀璨” 世博国际城的目标,加快推进“五个集聚区”建设,即跨国公司总部集聚区、央企总部和科创承载区、世界级文化集聚区、国际经济组织集聚区、大宗商品国际贸易生态集成区
未来,这里成为上海乃至全球的科技创新重要节点和文艺高地,引领城市发展的新风尚!
而且,这一切已经在发生了!
·城市生态滨水空间再提升
根据《2025年上海市城市更新规划资源行动方案》任务安排,上海今年将启动规划编制的有11个,其中 徐汇区西岸-01、 浦东新区白莲泾-01、 普陀区长寿路等3个城市更新单元重点衔接 “一江一河”专项规划

保利世博天悦售楼处电话:400-8894-638
白莲泾规划效果图;图源网络
区域面积1.2平方公里,总开发面积为181.15万平方米,规划能级同频徐汇西岸-01,未来白莲泾会联通区域内的其余河流组成“ 世博水环”,共同增强地区活力,提升板块生态宜居属性(预计2025年6月启动,数据来源于浦发集团公众号)
·科技创新中心再加码
①近日, 世博地区新增跨国公司地区总部2家、外资研发中心1家
截至目前,浦东世博地区已拥有 37家跨国公司地区总部

实景图
②世博管理局发布近期“ 十大重点落地项目”,包括英国皇家特许管理会计师公会上海代表处等重要机构; 预示着世博板块在未来的城市发展中将扮演更加重要的角色

保利世博天悦售楼处电话:400-8894-638
图源网络
·文化交流中心再加速
下半年的世博板块有点忙!
“水果姐”凯蒂·佩里(KatyPerry )的演唱会已正式官宣,还有Camila Cabello2025上海演唱会、石原崇雅“我是你的超级明星”中国巡回演唱会、袁娅维“月亮撒野”巡回演唱会等等一系列国内外知名歌手的演唱会都将 世博板块作为上海站的首选之地

图源网络
这些文化盛事不仅丰富了保利世博天悦业主们的精神生活,也进一步提升了世博板块的国际知名度和影响力
不止于此,根据规划,未来徐汇滨江对面的前滩区域也将建造 游船码头,届时外滩核心段、西岸、前滩、世博文化公园都将成为浦江游览的体验内容!

世博板块实景图
而这一切都在保利世博天悦业主的步行范围之内,下楼步行几步就是江畔及由白莲泾公园+世博文化公园等六座城市串联起来的 超长城市绿肺
在滨江漫步道上吹吹江风,在世博公园看看朝阳, 住在这里推窗即揽城市盛景,出门便能投身绿意之中,平常的日子也动人

保利世博天悦售楼处电话:400-8894-638项目实景图
科创、艺术、生态配套核聚一处,这样的生活方式,放眼整个黄浦江畔仅此一案!
04
约2600m²高定会所
世界级黑标豪宅服务
更难得的是, 保利世博天悦真的是在用雕琢世界瑰宝的态度,来对待这座地标豪宅
·专为“峯层”专享的高定艺术会所
小胖君做过统计,顶豪配会所的也就是十之一二,而 世博天悦配备约2600㎡双首层地下会所(只对业主开放)

项目实景图
会所不止于大,更在于调性!
以下沉式布局拓展双层立体空间,让内部得以容纳 私宴厅、半标恒温泳池(配4条泳道)、健身房、会客厅等多功能场景,并结合叠水、树阵、庭院等园林景观,实现内外空间的交互,拉近人与自然的距离

实景图
设计师还在会所中定制打造了以“文明之海、时间之轮、永恒之光”为主题的艺术品,品味格调非常在线,身处其中, 人文底蕴与精致格调相融,艺术之感彰显无余

保利世博天悦售楼处电话:400-8894-638项目实景图
·上海首屈一指的奢定装标
“产品堆料”向来是保利最拿手的!
嘉格纳、威乃达等国际顶尖大牌加持之下的厨房投入,已经抵得上很多城市一套房

*实际交付标准以买卖双方签订的《商品房买卖合同》为准
还有 唯宝、 当代、高仪、怡口、莫拉苏蒂等顶奢品牌的存在,将项目的人居品质推向更极致的高度
从 世界级大师定制到项目的每一个 精工细节,从 苛刻选材到 高奢装标,保利世博天悦的尊贵与奢华让人侧目

保利世博天悦售楼处电话:400-8894-638项目实景图
还有最后也是最重要的一环,那就是 高端物业服务!
保利联合金钥匙国际联盟打造的首个“管家学院”,以 “黑标服务DNA+东方礼遇基因”双螺旋结构,颠覆传统豪宅服务体系,重构顶豪服务的「东方范式」

在这里,每一位业主都能享受到量身定制的尊崇礼遇,从日常起居到休闲娱乐,每一个细节都经过精心设计与考量
保利物业通过 不断点、不断代、不断线的精心服务, 打造出更懂中国人分寸和服务的居住体验,无惧时间的磨砺,助力业主资产穿越周期!
世博天悦
3#楼火热认购中
站位更高端、产品更硬核
仅76席臻藏房源
建面约240-251m²4-5房
主力总价4000-5000万
更有建面约500㎡“隐藏户型”
项目已经准现房呈现
二期预计明年4月交房
对项目感兴趣的伙伴
欢迎预约看房
保利世博天悦售楼处电话:400-8894-638