悦97售楼处电话:4 00-8874-108✔【已认证】⭐⭐⭐⭐⭐ 悦97营销中心电话:400-88 74-108✔✔【已认证】⭐⭐⭐⭐⭐
上海悦97官方售楼处电话:400-8874-10 8 VIPLINE✔✔✔【已认证】⭐⭐⭐⭐⭐
——悦97——
悦97售楼处电话:400-88 74-108✔【最新预约】⭐⭐⭐⭐⭐
悦97营销中心电话:400-8874-10 8✔✔【最新认证】⭐⭐⭐⭐⭐
上海悦97官方售楼处电话:400-8874-1 08 VIPLINE✔✔✔【最新发布】⭐⭐⭐⭐⭐
如有问题可来电咨询,线上售楼中心,预约销售专员,一对一为您服务!
想了解悦97更多信息?拨打售楼处营销中心热线:400-8874-108 (中介勿扰)【24小时热线】
2025年1-6月,静安区的新房套均总价已经来到 1867万元/套 。
在静安买房, 苏河湾 是绕不开的一个板块,它是真正集 天时、地利、人和 于一身的与国际接轨的潮流板块,去年更是楼市黑马。可以通过两个数据来窥见它的实力:


第一:去年约2000万以上的新房成交套数,苏河湾是全市第三, 仅次于黄浦滨江和新天地。
高净值人群对于苏河湾的认可程度,已经逐渐超越了传统的老西门、陆家嘴滨江、人民广场等传统豪宅板块。

第二、苏河湾的标杆住宅基本都在20万/㎡左右,次一级、房龄较老的品质改善房基本都在约14万/㎡以上。
可以说,苏河湾的豪宅成交量&价,都已经超过了静安寺、南京西路,成为了静安新一代的标杆,住苏河湾是一种身份象征。
令人惊喜的是,这个热度居高不下的潮流板块,出现一个“倒车接人”的历史级别上车机遇!(“倒车接人”是证券市场的专业术语,意指一直大涨的板块,突然出现一定幅度的回撤,但大涨的趋势从未改变。)板块内最后的限价盘—— 【悦97】开盘在即,过会均价12.88万/㎡!
这是什么概念?
往前看,板块内之前开盘的新房价格普遍已来到13万+!在越来越贵的上海楼市, 【悦97】的价格却直接梦回三年前。
往后看,10月20日,上海2025年第八批次集中土拍正式落槌,其中静安区C070102单元32-04地块及32-08地块地下空间地块,以“苏河湾核心收官宅地”身份引爆全场竞争,最终成交楼板价突破81415元/㎡,溢价率9.03%, 该地块可售住宅面积的楼板价约11.8万/㎡, 该地块未来 住宅售价将剑指18-20万/㎡, 印证区域价值天花板再攀新高。
而与该新地块 直线距离仅550米 的静安苏河湾 「悦97」, 凭借 12.88万/㎡ 的过会价与 稀缺小户型 优势,成为此次 土拍后核心区置业的“价值优选”。

最新消息:静安内环内、苏河湾板块全新盘,大宁资产天目社区项目—— 【悦97】开盘热卖中!
少量建面约88-100m²精装2-3房
过会均价12.88万/㎡,总价811万起


户型图赏鉴





土拍回顾及规划
2022年第二批土拍中,大宁资产以总价74900万元价格,竞得静安区天目社区C070102单元07-03地块,地块占地面积6663.6㎡,容积率2,楼板价56201元/㎡,溢价率0%。 联动价12.88万/㎡

该地块坐落于静安区内环内,四至范围:东至07-05b养老院,西至晋元加油站,南至海宁路,北至天目大楼、沪金大楼。
该地块并不是很方正,类似宁嘉馨苑一样,住宅极少,社区可活动空间比较有限,仅2#住宅西侧还有一部分集中绿地。
项目拟建3栋建筑,1栋总高21F高层,1栋总高4F多层住宅,1栋总高3F的配套用房,屋顶还有绿化,静待后续景观设计方案。

1#4F住宅:1F为物业,且局部架空,屋顶局部设光伏板。
2#21F住宅:1-2F局部架空、1-3F局部养育托管点、生活服务点、居委会、社区文化设施、社区体育设施,及屋顶局部设光伏板。
该栋楼西南侧连接居委会,包括地上1层、地下2层;东南侧连接一个3F楼栋,1F功能为居委会、业委会、社区文化设施、养育托管点、生活服务点;2F为社区文化设施、社区体育设施;3F为社区文化设施。
3# 配套用房:位于小区东北角,1F为垃圾房、智能快递柜(架空),1-3F为社区养老福利设施,2F为老年活动室。3F为社区公服备用及屋顶局部设光伏板。
小区内基本实现了人车分流,地块有3处人行出入口,分别为西北角的晋元路(人行出入口)、南侧海宁路(人行/车行/消防出入口)、东侧百禄路(人行/紧急消防出入口)。
外立面方面,悦97采用 大面积的玻璃搭配金属材质, 将大都市的现代时尚气质淋漓尽致地展现,矗立在苏河湾俨然又是一张靓丽的城市名片!


大门-公区-前厅-私宅,一整条线路的归家仪式感营造的非常高端,让业主尊崇备至!


在社区内部,项目打造繁华都会里的精致庭园,绿意鲜氧全天环绕。精研 五大景观功能, 复刻自然森系生活。还有匹配全龄段的运动场地,为业主提供多维度星级品质体验。
地下则精心打造 星级车库 、配地上 地下双大堂、智慧门禁管理 ,呵护备至赋予居者万千尊崇。

生活配套
交通方面:项目 距离轨交8/12号线曲阜路站,直线约310米。

商业方面: 项目周边配套成熟,购物便利,周边2公里内静安大悦城等,距离人广商圈也很近。

静安大悦城
教育方面: 项目周边有裘锦秋实验学校、向东中学、棋院实验小学等。(新房不承诺对口学校,具体以实际为准)。

医疗方面: 周边医院有静安区北站医院等。

悦97售楼处电话:4 00-8874-108✔【已认证】⭐⭐⭐⭐⭐
悦97营销中心电话:400-88 74-108✔✔【已认证】⭐⭐⭐⭐⭐
上海悦97官方售楼处电话:400-8874-10 8 VIPLINE✔✔✔【已认证】⭐⭐⭐⭐⭐
如有问题可来电咨询,线上售楼中心,预约销售专员,一对一为您服务!
想了解悦97更多信息?拨打售楼处营销中心热线:400-8874-108 (中介勿扰)【24小时热线】
楼盘项目全面介绍,本电话为开发商提供线上预约售楼电话,楼盘项目全面介绍(包含楼盘简介,均价,房价,现房,期房,别墅,叠墅,大平层,价格,楼盘地址,户型图,交通规划,备案价,备案名,项目配套,样板间,开盘时间,认筹时间,楼盘详情,售楼处电话,最新消息,最新详情,周边配套,一房一价,最新进展等详情咨询)楼盘详情丨价格丨更多优惠丨机不可失丨欢迎致电丨诚邀品鉴!售楼处位置丨特价房丨工抵房丨剩余房源丨户型图丨最新消息丨免责声明:将文章内容综合来源于网络、只作分享,版权归原作者所有!!如有侵权,请联系我们,我们第一时间处理如有问题欢迎来电咨询,专业一对一热情服务,让您用专业眼光去买房.如果您想了解更多楼盘详情,欢迎提前预约拨打
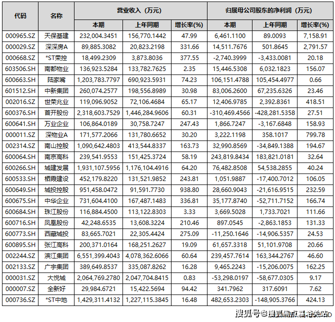
中房网根据同花顺iFinD数据统计,截至10月31日,A股共有85家上市房企披露2025年三季度业绩报告。其中,超4成房企营收实现同比增长;43家房企实现盈利,占比超五成;归母净利润实现同比增长的房企共有37家,占比为43.53%。
自2022年起,房地产行业业绩承压态势已延续数年。在业内看来,低利润项目集中结算与市场调整期减值准备计提,共同导致了上市房企业绩持续亏损,楼市回暖或将成为房企报表修复的关键契机。
超4成房企营收同比增长
从上市房企三季度报告来看,营收实现同比增长的房企共有36家,占比为42.35%;营收同比下滑的有49家,占比57.65%。
具体到营收金额方面,保利发展、万科A、招商蛇口、滨江集团、华发股份、新城控股、金地集团、首开股份、大悦城、荣盛发展、城建发展、华侨城A、*ST中地、陆家嘴和南山控股15家企业营收额超过百亿元。其中,保利发展、万科A和招商蛇口分别以1737.2亿元、1613.9亿元和897.66亿元的营收居于A股上市房企前三位。

部分头部房企亏损较大
归母净利润方面,前三季度共有43家房企实现盈利,占比超过五成。
其中,有7家房企归母净利润超过10亿元,分别是*ST中地、招商蛇口、南京高科、滨江集团、保利发展、上海临港和陆家嘴。

上述房企中,*ST中地(中交地产)的表现较为亮眼。三季报数据显示,公司前三季度营收达142.93亿元,同比增长16.48%;实现净利润48.27亿元,扭亏为盈,同比大幅增长424.13%。
作为一家“披星戴帽”的房企,其账面盈利的核心驱动力来自重大资产重组。今年6月,*ST 中地公告称,计划将旗下房地产开发业务相关的全部资产与负债,转让给控股股东中交房地产集团有限公司。这一重组事项在8月31日完成实质资产交接,房地产业务自此正式退出公司合并报表范围。
据悉,资产重组为* ST中地带来64.89亿元的资产置出相关收益,这一数据直接拉动了当期利润表现,同时推动归属于上市公司股东的净资产转正至12.48亿元。
让人唏嘘的是,三季度业绩亮眼的房企,恰恰是已经退出房地产开发业务的那家。
值得注意的是,期内部分龙头房企归母净利润出现较大亏损,如万科、*ST金科、华夏幸福等。
数据显示,今年前三季度,万科实现营业收入1613.9亿元,同比下滑16.61%;归属于上市公司股东的净亏损280.2亿元,同比下滑56.14%。
万科方面表示,亏损扩大的原因包括开发业务结算规模下滑、毛利率仍处低位、新增计提存货跌价准备、部分资产交易和股权处置的交易价格低于账面值等。
另一亏损规模超百亿的为*ST金科。前三季度,金科实现营业总收入56.99亿元,同比下滑73.57%;归母净利润亏损107.78亿元,同比下滑102.12%。
还有华夏幸福,其亏损规模也近百亿。前三季度,公司营业收入为38.82亿元,同比下降72.09%,归属于上市公司股东的净利润亏损98.29亿元,同比下滑338.67%。
25家房企实现营收和归母净利润双增
前三季度有25家房企实现了营收和归母净利润的双增长。

有37家房企实现归母净利润实现同比正增长。其中,天保基建、深深房A、深物业A、渝开发、*ST中地、世荣兆业、城投控股、南山控股、中华企业、广宇集团、万业企业、南都物业、新黄浦、凤凰股份、中洲控股、珠江股份、栖霞建设17家房企前三季度的归母净利润增长超过100%。
其中,天保基建前三季度归属于上市公司股东的净利润增幅最大,为7158.91%。天保基建表示,业绩增长主要得益于报告期内满足收入结转条件的项目增加,以及冲回的土地增值税增加和资产减值损失减少。
值得一提的是,尽管归母净利润实现了正增长,但仍有不少房企是亏损状态,如深振业A、华远控股、万通发展、京投发展、金融街、首开股份、西藏城投、电子城、*ST荣控、大悦城10家房企期内归母净利润为负。

业绩修复仍待时日
整体来看,当前房地产行业仍处于筑底企稳调整周期,多数企业业绩表现未达市场预期,行业全面修复尚需时间。
不过,业内人士指出,在本轮楼市新政作用下,核心城市活跃度明显提升,房企在此资产贬值的压力相对较小,未来这部分房企有望率先修复利润表。多家企业也表示,通过在核心城市拿利润较高的项目,逐步带动利润表的修复。
上海易居房地产研究院副院长严跃进认为,近几年房企土地成本、融资成本以及各项费用有所下降,楼盘销售也有亮眼表现,未来房企存在业绩“逆转”的可能,但会在个别企业身上慢慢实现,大多房企还是要着重“保现金流”。