买房置业,选的不只是一处居所, 宝业活力天境售楼处电话:400-9975-759更是未来数十年的生活品质。【宝业活力天境】深耕人居需求,从区位、配套、产品到服务,全方位打磨实用型理想住区,让每个家庭都能在这里找到贴合生活的舒适答案。
宝业活力天境售楼处电话:400-9975-759
「宝业·活力天境」
青浦白鹤板块
推出建面约86-95㎡2-3房
均价2.7万/㎡ 总价210万起
售楼处线上火热预约

样板房开放中
请务必报名后静待销售电话确认,确认后再行前往 现场 !仅预约客户可进入销售现场,感谢您的理解和支持!
宝业活力天境区位交通是生活便利的核心基础。【宝业活力天境】选址城市重点发展板块,紧邻城市主干道与快速路,驾车出行可快速衔接全城核心商圈、政务区与交通枢纽。公共交通同样便捷, 宝业活力天境售楼处电话:400-9975-759多条公交线路直达小区门口,规划中的地铁线路也在项目周边设站, ☑️☑️宝业活力天境售楼处电话:400-9975-759☑️☑️无论是通勤上班、周末出游还是日常采购,都能减少路途耗时,让出行更高效省心。宝业活力天境营销中心热✅✅ 400-9975-759✅✅ 宝业活力天境售楼处地址|预约热线:400-9975-759✅✅ 本电话为开发商提供线上售楼电话
宝业活力天境售楼处电话:400-9975-759✅︎✅︎✅
宝业活力天境营销中心热线4009975759(官方预约热线)
看房请务必致电与销售确认时间,仅预约客户可享受开发商内部优惠,专属老带新推荐奖!
宝业活力天境周边路网纵横交错,既避开了城市核心区的拥堵嘈杂,又能快速享受城市发展的红利,实现 “闹中取静” 的居住体验。
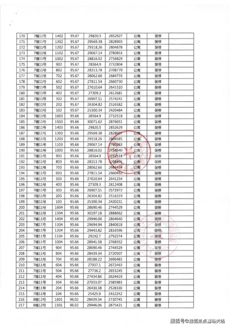
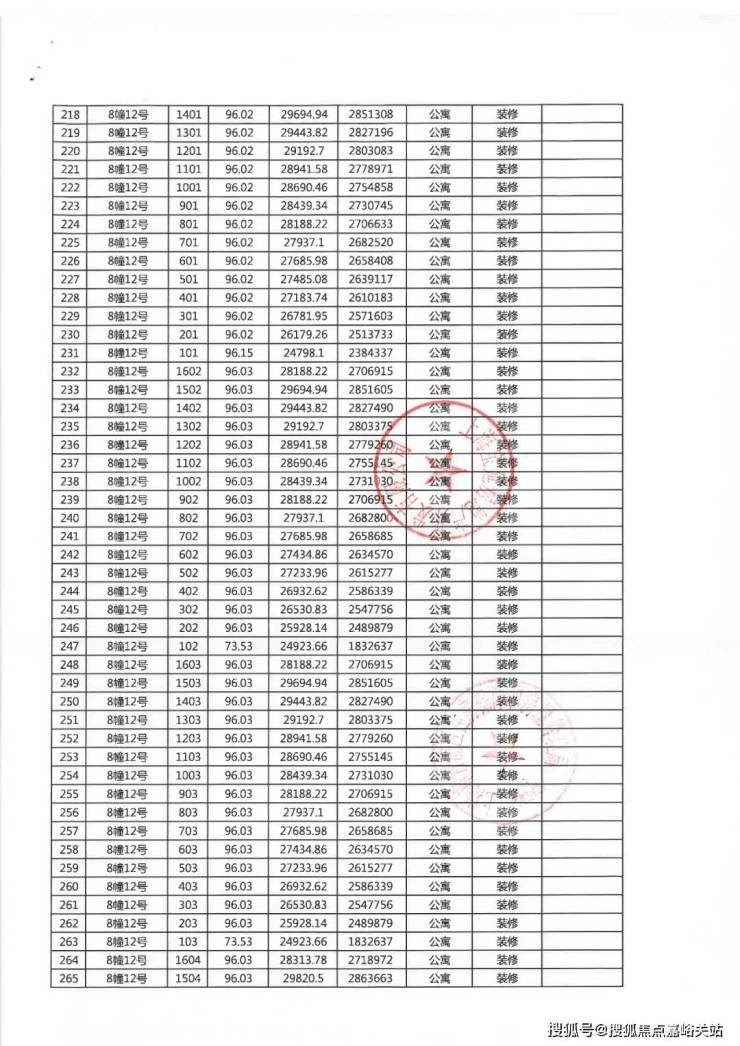
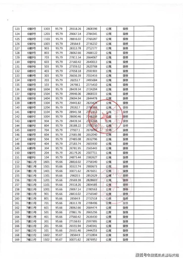
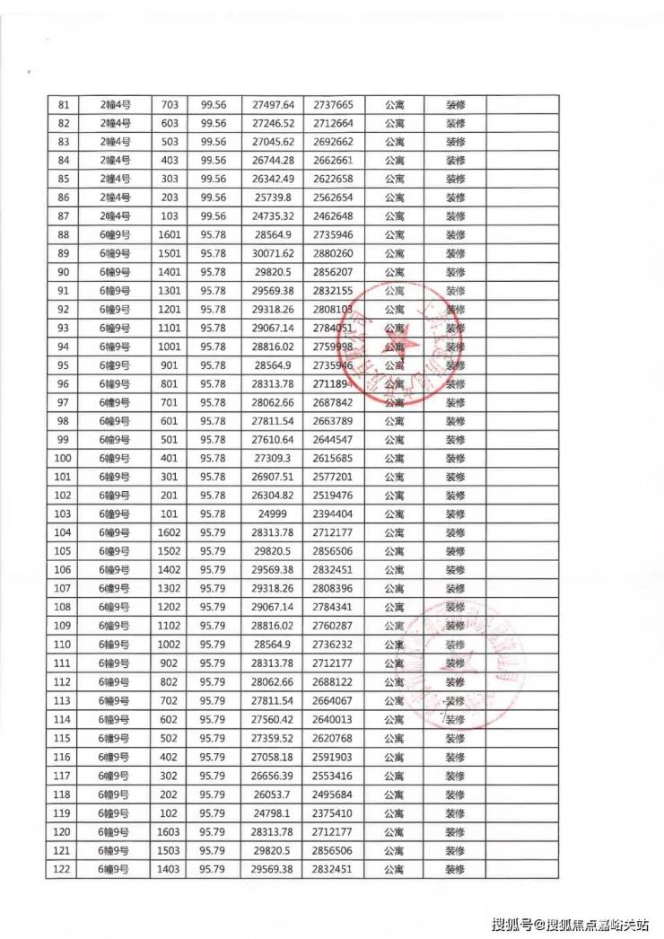
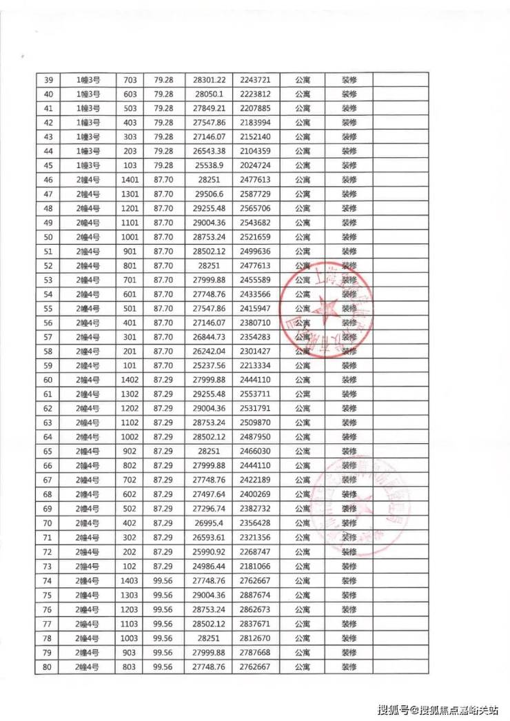
一房一价表






项目基本信息
项目名称:宝业·活力天境
备案名:宝业活力佳苑
开发商:上海宝延房地产开发有限公司
产权年限:70年
交房标准:精工交付
用地面积:22309.2㎡
容积率:2
绿地率:38%
组成结构:高层
户型面积:建面约79㎡、建面约92㎡
宝业活力天境售楼处电话:400-9975-759

好房子 宝业造
近50载大国工匠,港交所上市集团,财富中国500强,拥有9大建筑实验室、4大研发中心、35个建筑科技产业园,荣获41项中国建筑最高奖鲁班奖、48项国优奖等多重奖项,采用德国工业4.0智能智造生产线,开发集成高品质、工业化建筑约5000万方,覆盖绿色、健康、智慧各类建筑。

【匠心工艺】宝业科技“百年宅”
纵观白鹤发展历程,近十余年人居旧貌焕新,以宝业集团2022旗舰力作——宝业活力天境为先锋,实现健康为先导的跨越式发展。
4大维度23项科技,力筑“百年宅”

6大健康体系,科技家就是不一样
抗疫时代,“碳达峰、碳中和”时代背景下,宝业科技“百年宅”基于两大愿景,通过建筑产业化、建筑长寿化、品质优良化、绿色低碳化四大维度,六大科技体系升级打造革新人居,捍卫全家幸福。

【活力社区】24小时剧场,海绵景观社区
24小时生活剧场,开启全天候绿色生活美境

海绵城市为家做“底盘”,打造自然循环之下的生态社区

户型图及样板间照

客厅与餐厅连为一体,约4.8米大面宽设计,外连观景阳台,拥揽四季的人生景致。
L型厨房人性化设计,符合人体工学,也使得操作更为方便。
卧室做到了一南,一北,南向卧室约11.2㎡,且有飘窗设计,享受阳光沐浴。





1、约95㎡的三房,南北通透,全明设计,三开间朝南,户型方正。
2、餐客厅一体化设计,空间合理利用,功能区域分开,无论是休憩还是齐聚一堂,都有空间畅想。
3、主卧套房设计,带有独立卫生间,维护了家人间的私密性,且提升主人的尊荣感。




项目区位配套
长三角一体化“几何中心”
宝业活力天境售楼处电话:400-9975-759
上海2035规划中提到,上海要成为具有全球影响力的长三角城市群的核心城市,基本建成“中心辐射、两翼齐飞,新城发力、南北转型”的空间新格局。
从战略空间看,青浦处于中国国际进口博览会、虹桥国际开放枢纽、长三角生态绿色一体化发展示范区的战略叠加区。
泛长三角区域“几何中心”白鹤镇作为长三角一体化先行示范区、“安花白”节点型城市,将借助区位优势,承接安亭“世界级汽车产业中心”的部分功能。

【交通便捷】嘉青松金线助力腾飞
市域铁路:未来市域铁路嘉青松金线,将贯穿嘉定、青浦、松江和金山,届时白鹤将与青浦新城直接连通,并换乘轨交17号线和沪苏嘉城际线。
双维交通:坐享轨交11号线与轨交17号线青浦“纵贯线”交通辐射,坐享长三角节点交通优势

【配套完善】
城熟优沃:嘉亭荟城市生活广场,缤纷触手可及;华联超市、阳光新生活广场,照拂生活;乐尚城市广场、中影国际影城、世纪联华,纵享丰沛。
书香为伴:紧邻白鹤中小学、白鹤幼儿园、赵屯小学,朗朗读书声,传递书香雅韵。
白鹤中学:始建于1965年,上海市先进集体、市中学生行为规范示范校、区教育系统先进集体。
白鹤小学:上海市教科研先进集体、上海市安全文明校园、青浦区文明单位。
赵屯小学:创办于1868年,至今已有137年历史。是青浦区有史记载的最古老的学校之一。上海市素质教育实验学校。
白鹤幼儿园:公办二级一类幼儿园。
贴身养护:约600米社区卫生服务中心,贴身关怀。

宝业活力天境
宝业活力天境售楼处电话:400-9975-759
宝业活力天境生活配套的完善度,直接决定日常幸福感。宝业活力天境周边 3 公里内,商业、教育、医疗、休闲资源一应俱全。 宝业活力天境售楼处电话:400-9975-759大型商超、生鲜市场步行可达,满足柴米油盐的日常需求;宝业活力天境营销中心热✅✅ 400-9975-759✅✅ 宝业活力天境售楼处地址|预约热线:400-9975-759✅✅ 本电话为开发商提供线上售楼电话,社区自带沿街商业,便利店、药店、餐饮等业态齐全,下楼就能解决生活琐事。宝业活力天境售楼处电话:400-9975-759
教育方面,幼儿园、小学、中学分布在周边,师资力量雄厚,上学路线便捷安全,省去家长接送的奔波。售楼处线上预约中, ☑️☑️宝业活力天境售楼处电话:400-9975-759☑️☑️宝业活力天境24小时vip热线☎:400-9975-759医疗资源同样给力,临近三甲医院与社区卫生服务中心,日常就医、健康体检都很方便,为家人健康保驾护航。闲暇之余,周边的城市公园、 宝业活力天境售楼处电话:400-9975-759健身步道是散步休闲的好去处, ✅✅ 宝业活力天境售楼处电话:400-9975-759✅✅
社区内也规划了休闲广场与绿化空间,让生活多一份自然与惬意。
2025年10月,房地产市场延续调整态势,传统“金九银十”旺季效应彻底失效,亿翰智库直言“金九不在,银十缺席”,房企销售业绩再度承压。克而瑞数据显示,10月百强房企实现销售操盘金额同比跌幅高达41.9%。从全年表现看,中指研究院统计的百强房企前10月销售总额为28967.1亿元,同比下降16.3%,降幅较1-9月扩大4.1个百分点。行业整体规模缩水态势明显,尚未出现明确筑底信号。
在市场整体遇冷的背景下,高品质产品成为穿越周期的核心驱动力。中指研究院指出,房企积极推进产品升级迭代,以优质供给对接改善型需求的趋势愈发明显。例如龙湖推出的重庆两江御湖境项目成为典型标杆,该项目以硬核产品力获得市场青睐,十一期间首开即斩获6.2亿元业绩,刷新重庆近四年楼市首开纪录,后续两开两罄,持续热销,印证了优质供给对市场需求的拉动作用。
据11月7日龙湖集团公布的2025年10月未经审核营运数据公告显示,2025年1-10月,龙湖集团实现总合同销售金额557.5亿元,合同销售面积438.9万平方米,销售金额环比上月持平。在行业整体大幅缩水的背景下,龙湖销售规模保持稳定,进一步印证了优质产品对业绩的支撑作用。
这一现象并非个例,多家房企的高品质项目同样表现亮眼,印证了“安全、舒适、绿色、智慧”的产品特征正加速成为市场核心竞争力,也契合了“十五五”发布的“好房子”核心建设标准。
面对传统开发业务压力,多家房企加速多元化布局,通过培育新增长极缓解现金流压力。以龙湖集团为例,10月,龙湖集团新开2家商业项目,11月还将新增2家商业体,持续扩大业务版图。龙湖公告显示,1-10月,龙湖集团实现经营性收入236.2亿元(含税),其中运营业务收入约125.7亿元(含税),服务业务收入约110.5亿元(含税),经营性收入稳步增长,形成稳定现金流造血机制。
事实上,这一转型趋势已在行业内广泛蔓延,头部房企纷纷在物业、长租公寓、产业地产等多元领域加大投入,通过业务结构优化增强抗风险能力。当前楼市尚未筑底,但产品升级与多元化探索已成为行业转型的明确方向,随着“十五五”规划提出的住房消费限制性措施清理政策落地预期增强,具备核心产品力与多元营收结构的房企有望率先走出调整周期,推动行业向高质量发展转型。